FA-PEG2k-DSPE 磷脂-聚乙二醇2000-叶酸 磷脂PEG叶酸
发布时间:2023-05-09  作者:zyl  分享到:
【产品名称】
DSPE-PEG-FA、二硬脂酰基磷脂酰乙醇胺-聚乙二醇-叶酸、磷脂-PEG-叶酸
英文名称:Folic acid PEG DSPE
【产品包装】100mg、500mg(可根据要求定制规格)
【产品详情】
溶剂:氯仿、二氯甲烷等常规有机溶剂
外观:淡黄色或黄色粉末
分子量(PEG ):2000、3400、5000,其他分子量可以定制。
为确保产品的稳定性,请注意在恒温干燥以后才能打开包装取用!
【产品说明】
磷脂-聚乙二醇-叶酸(DSPE-PEG-FA),羧基与氨基生成酰胺键,这个反应使得叶酸配体附着在蛋白质、抗体、肽或颗粒表面。聚乙二醇化叶酸具有较好的水溶性和生物活性,叶酸功能化底物已被用于靶向给药、成像和生物测定的开发。
DSPE(1,2-二硬脂酰-sn-甘油-3-磷酸乙醇胺)是一种饱和的18碳磷脂,常用于脂质体的合成。聚乙二醇(PEG)偶联DSPE具有亲水性,可用于药物传递、基因转染和生物分子修饰。
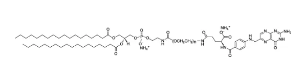
结构式

相关产品:
DSPE-PEG-Transferrin MW:5000 磷脂-聚乙二醇-转铁蛋白
DSPE-PEG-Cholesterol MW:20000 磷脂-聚乙二醇-胆固醇
DSPE-PEG-DBCO MW:2000 磷脂-聚乙二醇-二苯基环辛炔
DSPE-PEG-HSA MW:3400 磷脂-聚乙二醇-人血清白蛋白*
DSPE-PEG-PEI MW:5000 磷脂-聚乙二醇-聚乙烯亚胺
DSPE-PEG-Silane MW:10000 磷脂-聚乙二醇-硅烷
DSPE-PEG-Mannose MW:20000 磷脂-聚乙二醇-甘露糖




齐岳微信公众号
官方微信
库存查询