环肽偶联聚乙二醇磷脂 cRGD-PEG-DSPE,MW:3400/5000
发布时间:2023-05-09  作者:zyl  分享到:
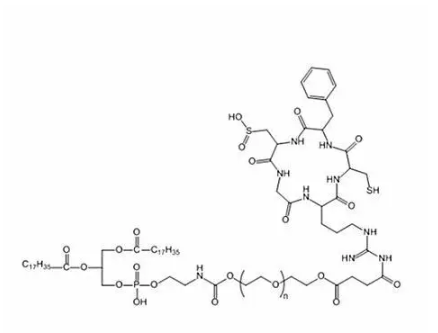
英文名称:DSPE-PEG-cRGD
中文名称:磷脂-聚乙二醇-靶向穿膜肽cRGD环肽
用途:仅用于科学研究
外观:固体或粘性液体,取决于分子量
注意事项:取用一定要干燥,避免频繁的溶解和冻干
取用:现配现用,将包装从冰箱中取出,置于干燥器中缓慢升至室温,打开瓶盖,取用。取用后充入惰性气体,封口膜封口,拧紧瓶盖装入自封袋,及时放入冰箱。

靶向穿膜肽RGD环肽,新生血管靶向肽,特异性识别整合素αvβ3,磷脂-聚乙二醇-cRGD中的cRGD是五元环肽,可用于胶束、囊泡的被动靶向,主动靶向研究和用于药物输送。DSPE(1,2-二硬脂酰-sn-甘油-3-磷酸乙醇胺)是一种饱和的18碳磷脂,常用于脂质体的合成。
相关产品:
DSPE-PEG-Transferrin MW:5000 磷脂-聚乙二醇-转铁蛋白
DSPE-PEG-Cholesterol MW:20000 磷脂-聚乙二醇-胆固醇
DSPE-PEG-DBCO MW:2000 磷脂-聚乙二醇-二苯基环辛炔
DSPE-PEG-HSA MW:3400 磷脂-聚乙二醇-人血清白蛋白
DSPE-PEG-PEI MW:5000 磷脂-聚乙二醇-聚乙烯亚胺
DSPE-PEG-Silane MW:1000 磷脂-聚乙二醇-硅烷
DSPE-PEG-Mannose MW:2000 磷脂-聚乙二醇-甘露糖




齐岳微信公众号
官方微信
库存查询