乙酰丙酮三苯基膦羰基铑(I)合成制备技术(红外光谱分析)
西安齐岳生物科技有限公司是国内一家的生物科技公司,可供应磷脂、PEG衍生物、双亲共聚物、纳米金、磁性纳米颗粒、微球、荧光染料、蛋白改性产品等等,
铑化合物作为贵金属均相催化剂,已用于氢甲酰化、加氢、羰基合成等化工过程中。
合成步骤:
第1步RhCl3.nH2O合成乙酰丙酮二羰基铑([);
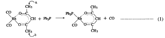
第2步在无氧.条件下,由乙酰丙酮二羰基铑(I)合成乙酰丙酮三苯基膦羰基铑(I),单程总收率75%。
图1. 乙酰丙酮三苯基膦羰基铑合成过程图
核磁共振氢谱分析:
图2. 合成乙酰丙酮三苯基膦羰基铑(I)的反应。

图3 图4
图3. 乙酰丙酮二羰基铑([I)的H-NMR谱图
图4.乙酰丙酮三苯基膦羰基铑(I)的H-NMR谱图
图5. 乙酰丙酮二羰基铑([)和乙酰丙酮三苯基膦羰基铑(I)的IR谱图比较.
2个-CH3的不等位和PPh;苯环上的15个氢都说明反应中,PPh;只取代了1个CO,产物只能是乙酰丙酮三苯基膦羰基铑(I)。
红外光谱分析:乙酰丙酮二羰基铑(I)和乙酰丙酮三苯基膦羰基铑(I)的红外谱图见图5。图b中,在2070-1970cm-1有2个强的特征红外吸收峰,它们归属于乙酰丙酮二羰基铑([)的2个CO的对称和不对称伸缩振动。图a与文献报道完全一致心3。PPh;取代CO后,导致CO失去对称性,只剩下1个相应的CO强吸收峰并移至1950cm-'。作为对H-NMR谱的1个有力辅证,说明反应中PPh3只取代了1个CO,产物只能是含有1个PPh;配体的乙酰丙酮三苯基膦羰基铑([)。
齐岳生物供应产品列表:
钌系列 |
14284-93-6 |
三(乙酰丙酮酸)钌 |
96503-27-4 |
醋酸钌(III) |
|
37366-09-9 |
(五甲基环戊二烯基)二氯化钌(II) |
|
12215-07-5 |
二(µ-氯)二氯二(苯基)二钌(II) |
|
67421-02-7 |
二(µ-氯)二氯二(六甲基苯基)二钌(II) |
|
85908-78-7 |
二(η5-2,4-二甲基-2,4-环戊二烯)(II) |
|
122260-79-1 |
(η5-2,4-二甲基环戊二烯)(η4-2,4-二甲基-1,3-环戊二烯)钌(II)四氟硼酸盐 |
|
145271-55-2 |
三乙腈(η5-2,4-二甲基环戊二烯)钌(II)四氟硼酸盐 |
|
50982-13-3 |
二氯(1,5-环辛二烯)钌(II)聚合物 |
|
92390-26-6 |
(1,5-环辛二烯)(五甲基环戊二烯基)氯化钌 |
|
93582-31-1 |
二(1,5-环辛二烯)四[μ-三氟醋酸合]二钌(II)水合物 |
|
12289-94-0 |
二(甲基烯丙基)(1,5-环辛二烯)钌 |
|
133519-03-6 |
二乙酸(1,5-环辛二烯)钌(II) |
|
12132-87-5 |
二-μ-羰基二羰基二环戊二烯二钌(II) |
|
32992-96-4 |
二(乙基环戊二烯基)钌(0) |
|
52462-31-4 |
二(µ-chloro)二氯双(均三甲苯)二钌(II) |
|
48107-17-1 |
(降冰片二烯)二氯化钌(II) |
|
55466-76-7 |
醋酸钌(III)溶液 |
|
52462-29-0 |
二(µ-氯)二氯二(4-甲基异丙基苯基)二钌(II) |
|
90614-07-6 |
二(µ-氯)二碘二(对异丙基甲苯)二钌(II) |
|
15529-49-4 |
三(三苯基膦)二氯化钌(II) |
|
16971-33-8 |
羰基氯氢三(三苯基膦)钌(II) |
|
15243-33-1 |
十二羰基三钌 |
|
126251-92-1 |
氯代[(S)--2,2'-二(二苯基膦)-1,1'-联萘](苯基)氯化钌(II) |
|
145926-28-9 |
氯代[(R)-(+)-2,2'-二(二苯基膦)-1,1'-联萘](p-伞花素)氯化钌(II) |
|
130004-33-0 |
氯代[(S)-(-)-2,2'-二(二苯基膦)-1,1'-联萘](p-伞花素)氯化钌(II) |
|
325146-81-4 |
二乙酸[[(R)-2,2,-双(二苯基膦)-1,1,-二萘基]钌(II) |
|
261948-85-0 |
二乙酸[[(S)-2,2,-双(二苯基膦)-1,1,-联萘]钌(II) |
|
133519-04-7 |
二乙酸[[(R)-2,2,-双(二苯基膦)-6,6,-二甲氧基-1,1,-联苯基]钌(II) |
|
134527-17-6 |
二乙酸[[(S)-2,2,-双(二苯基膦)-6,6,-二甲氧基-1,1,-联苯基]钌(II) |
|
952040-51-6 |
二乙酸[[(R)-2,2,-双(二-2-呋喃基膦)-6,6,-二甲氧基-1,1,-联苯基]钌(II) |
|
916197-27-8 |
二乙酸[[(R)-2,2,-双[二(3,5-二甲苯基)膦-6,6,-二甲氧基-1,1,-联苯基]钌(II) |
|
194497-14-8 |
二乙酸[[(R)-2,2,-双[二(3,5-二叔丁基苯基)膦-6,6,-二甲氧基-1,1,-联苯基]钌(II) |
|
1016168-44-7 |
[(R)-1-[-[(S)-2-二苯基膦)二茂铁]乙基二叔丁基膦](η5-2,4-二甲基-环戊二烯)(氮-乙腈)钌(II)]四氟硼酸盐 |
|
/ |
[(S)-1-[-[(R)-2-二环己基膦)二茂铁]乙基二叔丁基膦](η5-2,4-二甲基-环戊二烯)(氮-乙腈)钌(II)]四氟硼酸盐 |
|
/ |
[(αR,αR)-2,2,-二(α-氮,氮-二甲氨基苯甲基)-(S,S)-1,1,-二(二苯基膦)二茂铁](η5-2,4-二甲基-环戊二烯)(氮-乙腈)钌(II)四氟硼酸盐 |
|
942042-51-5 |
[(R)-1-二苯基膦-2-[(R)-α-(氮,氮-二甲氨基)-邻-(二环己基膦苯基)甲基]二茂铁](η5-2,4-二甲基-环戊二烯)(氮-乙腈)钌(II)四氟硼酸盐 |
|
942042-52-6 |
[(S)-1-二苯基膦-2-[(S)-(二甲氨基)-邻-二苯基膦苯基)甲基]二茂铁](η5-2,4-二甲基环戊二烯)碘化钌(II) |
|
942042-53-7 |
[(R)-1-二苯基膦-2-[(R)-(二甲氨基)-邻-二苯基膦苯基)甲基]二茂铁](η5-2,4-二甲基环戊二烯)碘化钌(II) |
|
1021494-95-0 |
[(R)-1-[(R)-2-(2,-二苯基膦)二茂铁]-乙基-(二-3,5-三氟甲基苯基)膦](η5-2,4-二甲基-环戊二烯)碘化钌(II) |
|
1021494-98-3 |
[(R)-1-[(R)-2-(2’-二环己基膦苯基)二茂铁]-乙基二-(二-(3,5-三氟甲基)苯基)膦](η5-2,4-二甲基-环戊二烯)(氮-乙腈)钌(II)四氟硼酸盐 |
|
1021494-93-8 |
[(R)-1-[(R)-2-(2,-二苯基膦)二茂铁]-乙基-(二-3,5-三氟甲基苯基)膦](η5-2,4-二甲基-环戊二烯)碘化钌(II) |
|
192139-92-7 |
[(R,R)-2-氨基-1,2-二苯乙基)[(4-甲苯基)磺酰基]氨基](对异丙基甲苯)氯化钌(II) |
|
192139-90-5 |
[(S,S)-2-氨基-1,2-二苯乙基)[(4-甲苯基)磺酰基]氨基](对异丙基甲苯)氯化钌(II) |
|
250220-36-1 |
二氯(3-苯基-1氢-1-茚)(三环己基膦)钌(II) |
|
894423-99-5 |
双[9-(2-甲基丙基)-9-磷杂二环[3.3.1]壬烷](3-苯基-1H-茚-1-亚基)二氯化钌 |
|
536724-67-1 |
[1,3-二(2,4,6-三甲基苯基)-4,5-二氢咪唑-2-亚基]二氯(3-苯基-1氢-1-茚)(三环己基膦)钌(II) |
|
340810-50-6 |
[1,3-二(2,4,6-三甲基苯基)-4,5-二氢咪唑-2-亚基]二氯(3-苯基-1氢-1-茚)(三苯基膦)钌(II) |
|
1255536-61-8 |
1,3-二(2,4,6-三甲基苯基)-4,5-二氢咪唑-2-亚基]二氯(3-苯基-1氢-1-茚)(三异丙氧亚磷酸酯)钌(II) |
|
1307233-23-3 |
[1,3-二(2,6-二异丙氧基苯基)-4,5-二氢咪唑-2-亚基]二氯(3-苯基-1氢-1-茚)(三苯基膦)钌(II) |
|
1031262-76-6 |
[1,3-二(2,4,6-三甲基苯基)-4,5-二氢咪唑-2-亚基]二氯(3-苯基-1氢-1-茚)(吡啶基)钌(II) |
|
1304756-39-5 |
[1,3-二(2,6-二异丙氧基苯基)-4,5-二氢咪唑-2-亚基]二氯(3-苯基-1氢-1-茚)(吡啶基)钌(II) |
|
934538-04-2 |
[1,3-二(2,4,6-三甲基苯基)-4,5-二氢咪唑-2-亚基][2-[[(4-甲苯基)亚胺]甲基]-4-硝基酚]-[3-苯基-1氢-1-茚](氯)钌(II) |
|
934538-12-2 |
[1,3-二(2,4,6-三甲基苯基)-4,5-二氢咪唑-2-亚基]-[2-[[(2-甲苯基)亚胺]甲基]-苯酚]-[3-苯基-1氢-1-茚](氯)钌(II) |
|
1031262-71-1 |
[1,3-二(2,4,6-三甲基苯基)-4,5-二氢咪唑-2-亚基]二氯[2-(1-甲基-2-氧代丙氧基苯亚甲基]钌(II) |
|
1416427-09-2 |
[1,3-二(2,4,6-三甲基苯基)-4,5-二氢咪唑-2-亚基]二氯[(2-甲基(苯基)氨基]苯亚甲基](II) |
|
1416427-12-7 |
[1,3-二(2,6-二-异丙苯基)-4,5-二氢咪唑-2-亚基]二氯[2-甲基(苯基)氨基](苯亚甲基)]钌(II) |
|
1025728-56-6 |
[1,3-二(2,4,6-三甲基苯基)-4,5-二氢咪唑-2-亚基]二氯[(2-异丙氧基)(5-五三氟甲基酰胺基)苯亚甲基]钌(II) |
|
1212008-99-5 |
[1,3-二(2,6-二异丙基苯基)-4,5-二氢咪唑-2-亚基]二氯[(2-异丙氧基)(5-五三氟甲基酰胺基)苯亚甲基]钌(II) |
|
1030618-02-0 |
[1,3-二((2,4,6-三甲基苯基)-4,5-二氢咪唑-2-亚基][(2-异丙氧基)(五氟苯酰胺基)(苯亚甲基)]钌(II) |
|
1354710-90-9 |
[1,3-二(2,6-二-异丙苯基)-4,5-二氢咪唑-2-亚基][(2-异丙氧基)(五氟苯酰胺基)(苯亚甲基)]钌(II) |
|
1025728-57-7 |
[1,3-二(2,4,6-三甲基苯基)-4,5-二氢咪唑-2-亚基]二氯[5-(异丁氧基酰胺基)-2-异丙氧基苯亚甲基]钌(II) |
|
1212009-05-6 |
[1,3-二(2,6-二-异丙苯基)-4,5-二氢咪唑-2-亚基]二氯[5-(异丙氧酰胺基)-2-异丙氧基苯亚甲基]钌(II) |
|
1030618-11-1 |
[1,3-二(2,4,6-三甲基苯基)-4,5-二氢咪唑-2-亚基]二氯[5-(异丁氧基酰胺基)-2-异丙氧基苯亚甲基]钌(II) |
|
1212009-08-9 |
[1,3-二(2,6-二-异丙苯基)-4,5-二氢咪唑-2-亚基]二氯[5-(乙氧基氧代酰胺基)-2-异丙氧基苯亚甲基]钌(II) |
|
1228169-92-3 |
[1,3-二(2,4,6-三甲基苯基)-4,5-二氢咪唑-2-亚基]二氯(3-苯基-1氢-1-茚)(4,5-二氯-1,3-二乙基-1,3-二氢咪唑-2-亚基)钌(II) |
|
1415725-62-0 |
[1,3-二(2,4,6-三甲基苯基)-4,5-二氢咪唑-2-亚基]二氯(2-碘代苯乙烯基)钌(II) |
|
1415725-73-3 |
[1,3-二(2,4,6-三甲基苯基)-4,5-二氢咪唑-2-亚基]二氯[(8-碘代萘烯基)亚甲基]钌(II) |
|
1415725-68-6 |
[1,3-二(2,4,6-三甲基苯基)-4,5-二氢咪唑-2-亚基]二氯[(2-溴-5-二甲氨基)苯乙烯基]钌(II) |
|
铑系列 |
14284-92-5 |
醋酸铑 |
73482-96-9 |
辛酸铑二聚体 |
|
14874-82-9 |
二羰基乙酰丙酮铑 |
|
12354-85-7 |
二氯(五甲基环戊二烯基)合铑(Ⅲ)二聚体 |
|
12092-47-6 |
(1,5-环辛二烯)氯化铑(I)二聚体 |
|
12245-39-5 |
乙酰丙酮基(1,5-环辛二烯)铑 |
|
35138-22-8 |
二(1,5-环辛二烯)四氟硼酸铑(I) |
|
404573-66-6 |
双(1,5-环辛二烯)铑(I)四[3,5-二(三氟甲基)苯基]硼酸盐 |
|
99326-34-8 |
双(1,5-环辛二烯)-三氟甲磺酸铑(I) |
|
12257-42-0 |
降冰片二烯氯化铑(I)二聚体 |
|
32354-50-0 |
乙酰丙酮(降冰片二烯)合铑 |
|
36620-11-8 |
双(降冰片二烯)铑(I) 四氟硼酸盐 |
|
29998-99-0 |
二水合乙酸铑二聚体 |
|
14694-95-2 |
三(三苯基膦)氯化铑(I) |
|
39373-27-8 |
氧化铑/氧化铂水合物 |
|
673458-86-1 |
(1,5-环辛二烯)[R-1-[(S)-2-)二苯基膦)二茂铁]-乙基-二叔丁基膦]四氟硼酸铑(I) |
|
673458-82-7 |
(1,5-环辛二烯)[(αR,αR)-2,2,-二(α-氮,氮-二甲氨基苯甲基)-(S,S)-1,1,-二(二苯基膦)二茂铁]铑(I)四氟硼酸盐 |
|
/ |
(1,5-环辛二烯)[(αR,αR)-2,2,-二(α-氮,氮-二甲氨基苯甲基)-(S,S)-1,1,-二(3,5-二甲基-4-甲氧基苯基)二茂铁]铑(I)四氟硼酸盐 |
|
673458-84-9 |
(1,5-环辛二烯)[(R)-1-二苯基膦-2-[(R)-α-(氮,氮-二甲氨基)-邻-(二环己基膦苯基)甲基]二茂铁]铑(I)四氟硼酸盐 |
|
/ |
(1,5-环辛二烯)[(R)-1-二环己基膦-2-[(R)-α-(氮,氮-二甲氨基)-邻-(二环己基膦苯基)甲基]二茂铁]铑(I)四氟硼酸盐 |
|
673458-88-3 |
(1,5-环辛二烯)[(R)-1-[(R)-2-(2,-二苯基膦)二茂铁]-乙基-(二-3,5-三氟甲基苯基)膦]铑(I)四氟硼酸盐 |
|
56977-92-5 |
(1,5-环辛二烯)[(R,R)-1,2-双(邻甲氧基苯基)(苯基)膦基]乙烷四氟硼酸铑(I) |
|
894423-88-2 |
[(2,3,5,6-H)-双环[2.2.1]庚-2,5-二烯][(1R,1'R)-[1,2-二乙基二(2甲氧基苯基)苯基膦]铑(Ⅰ)四氟硼酸盐 |
|
71423-54-6 |
(1,5-环辛二烯)[(S,S)-1,2-双(邻甲氧基苯基)(苯基)膦基]乙烷四氟硼酸铑(I) |
|
223392-99-2 |
(1,5-环辛二烯)[(S,S)-1,2-双(邻甲氧基苯基)(苯基)膦基]乙烷四氟硼酸铑(I) |
|
219944-99-7 |
[((R,R)-2-氨基-1,2-二苯乙基)[(4-甲苯基)磺酰胺](氯)五甲基环戊二烯铑(I) |
|
/ |
[((S,S)-2-氨基-1,2-二苯乙基)[(4-甲苯基)磺酰胺](氯)五甲基环戊二烯铑(I) |
|
铱系列 |
15635-87-7 |
三(乙酰丙酮根)合铱(III) |
12354-84-6 |
二氯(五甲基环戊二烯基)合铱(III)二聚体 |
|
33040-12-9 |
二碘(五甲基环戊二烯基)合铱(III)二聚体 |
|
12112-67-3 |
二环辛烯氯化铱(Ι)二聚体 |
|
35138-23-9 |
双(1,5-环辛二烯)四氟硼酸铱(Ι) |
|
666826-16-0 |
双(1,5-环辛二烯)四[3,5-双(三氟甲基)苯基]硼酸铱(Ι) |
|
12154-84-6 |
1,5-环辛二烯(乙酰丙酮)铱(Ι) |
|
12246-51-4 |
二环辛烯氯化铱(Ι)二聚体 |
|
金系列 |
15278-22-5 |
双(1,2-乙二胺)三氯化金 |
14243-64-2 |
三苯基膦氯化金 |
|
39929-21-0 |
四氢噻吩氯化金 |
|
852445-83-1 |
氯[1,3-双(2,6-二异丙苯基)咪唑-2-基]金 |
温馨提示:西安齐岳生物供应产品仅用于科研,不能用于人体。




齐岳微信公众号
官方微信
库存查询