DSPE-PEG2K-FITC;FITC-PEG2000-DSPE;荧光素-聚乙二醇-磷脂
发布时间:2023-05-09     作者:zyl   分享到:
英文名称:DSPE-PEG-FITC
中文名称:磷脂-聚乙二醇-荧光素
分子量:1k,2k,3.4k,5k,10k,20k(可按需定制)
质量控制:95%+
存储条件:-20°C,避光,避湿
外观:橙色/黄色粉末或粘性液体取决于分子量
溶解性:Water(水)、Methanol(甲醇)、Chloroform(三氯甲烷)、DMF、DMSO。
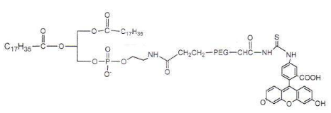
结构式:

1,2-二硬脂酰基-sn-甘油-3-磷酸乙醇胺(DSPE)共轭和荧光素标记的聚乙二醇(DSPE-PEG-FITC),DSPE PEG荧光素是具有亲水性和疏水性的磷脂PEG共轭物。
聚乙二醇化的磷脂是**的脂质体形成材料,也可用于药物输送,基因转染和疫苗输送。
磷脂的聚乙二醇化显着改善了封装药物的血液循环时间和稳定性,这些材料还可通过用靶向配体(例如抗体,肽)修饰其表面来用于靶向药物递送。
荧光素标记的DSPE PEG产品发出绿色荧光,可以通过常规荧光仪器轻松检测到。
相关产品:
DSPE-PEG-COOH 磷脂聚乙二醇羧基
DSPE-PEG-MAL 磷脂聚乙二醇马来酰亚胺
DSPE-PEG-NHS 磷脂聚乙二醇琥珀酰亚胺酯
DSPE-PEG-SH 磷脂聚乙二醇巯基
DSPE-PEG-Biotin 磷脂聚乙二醇生物素
DSPE-PEG-FA 磷脂聚乙二醇叶酸
DSPE-MPEG 磷脂甲氧基聚乙二醇
DSPE-PEG-OH 磷脂聚乙二醇羟基
DSPE-PEG-FITC 磷脂聚乙二醇荧光素




齐岳微信公众号
官方微信
库存查询