DSPE-PEG-Cy3,Cyanine3-PEG2000-DSPE, 磷脂-聚乙二醇-花青素Cyanine3
发布时间:2023-05-09     作者:zyl   分享到:
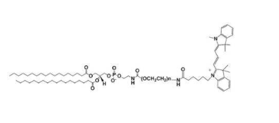
产品名称: 磷脂-聚乙二醇-花青素Cyanine3
英文名称:DSPE-PEG-Cy3,Cyanine3-PEG-DSPE
分子量:1k,2k,3.4k,5k,10k,20k(可按需定制)
质量控制:95%+
原料分散系数PDI:≤1.05
存储条件:-20°C,避光,避湿
用 途:仅供科研实验使用,不用于诊治
外观: 固体或粘性液体,取决于分子量
注意事项:取用一定要干燥,避免频繁的溶解和冻干
溶解性:溶于大部分有机溶剂,如:DCM、DMF、DMSO、THF等等。在水中有很好的溶解性

反应机理:
DSPE-PEG-Cy3是一种附着有荧光团的脂类共轭分子,Cy3荧光团通常用于免疫标记、核酸标记、荧光显微镜和流式细胞术等应用。
该染料的吸收波长在548-552nm附近达到峰值,发射值在562-570nm附近。DSPE是一种磷脂,为分子提供疏水锚,使其能够结合到细胞膜和脂质双层中。
PEG组分是一种亲水性聚合物,有助于在水性环境中稳定分子,防止其聚集或迅速从体内清除。
相关产品:
DSPE-PEG-COOH 磷脂聚乙二醇羧基
DSPE-PEG-MAL 磷脂聚乙二醇马来酰亚胺
DSPE-PEG-NHS 磷脂聚乙二醇琥珀酰亚胺酯
DSPE-PEG-SH 磷脂聚乙二醇巯基
DSPE-PEG-Biotin 磷脂聚乙二醇生物素
DSPE-PEG-FA 磷脂聚乙二醇叶酸
DSPE-MPEG 磷脂甲氧基聚乙二醇
DSPE-PEG-OH 磷脂聚乙二醇羟基
DSPE-PEG-FITC 磷脂聚乙二醇荧光素




齐岳微信公众号
官方微信
库存查询