DSPE-PEG-TCO MW:2K;TCO-PEG-DSPE PEG修饰剂
发布时间:2023-05-09  作者:LYQ  分享到:
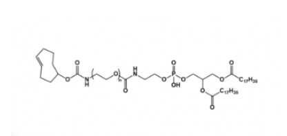
产品名称:DSPE-PEG-TCO MW:2K;TCO-PEG-DSPE
纯度:≥95%
取用:现配现用
存储条件:-20°冷冻保存,惰性气体保护
状态:由于PEG分子量的不同,呈现的产品状态多为液体或粘稠状固体

产品说明:
聚乙二醇是非离子型的水溶性聚合物,它能与许多极性较高的物质配伍,对低极性的物质配伍性差,相对分子质量低的聚乙二醇配伍性较好。
包装:瓶装
厂家:西安齐岳生物科技有限公司
生产地址:西安
温馨提示:仅适用于科研
西安齐岳生物科技有限公司提供各种合成磷脂,高分子PEG衍生物,小分子聚乙二醇,USPIO超顺磁性氧化铁纳米颗粒,纳米金,纳米金棒,树枝状聚合物,荧光染料及交联剂等等产品。
相关产品推荐:
DSPE-PEG10k
DSPE-PEG10k-MAL
DSPE-PEG-SH,MW:2000
PLGA-SS-PEG-MAL
DSPE-PEG-CY3
DMG-PEG2K-MAL
DMG-PEG3.4K-MAL
DMG-PEG5K-MAL




齐岳微信公众号
官方微信
库存查询