8-arm-PEG10000-DOPE;8-arm-PEG-DOPE 修饰性PEG
发布时间:2023-05-09     作者:LYQ   分享到:
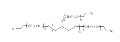
产品名称:8-arm-PEG10000-DOPE;8-arm-PEG-DOPE
纯度:≥95%
取用:现配现用
存储条件:-20°冷冻保存,惰性气体保护
状态:由于PEG分子量的不同,呈现的产品状态多为液体或粘稠状固体

描述:
聚乙二醇可与氧化淀粉、硝基纤维素、聚醋酸乙烯酯和玉米朊配伍或部分配伍。与蜂蜡、蓖麻油、明胶、阿拉伯胶,矿物油、橄榄油和石蜡等不互溶。
包装:瓶装
厂家:西安齐岳生物科技有限公司
生产地址:西安
温馨提示:仅适用于科研
西安齐岳生物科技有限公司提供各种合成磷脂,高分子PEG衍生物,小分子聚乙二醇,USPIO超顺磁性氧化铁纳米颗粒,纳米金,纳米金棒,树枝状聚合物,荧光染料及交联剂等等产品。
相关产品推荐:
DSPE-PEG2K-TPP
DSPE-TK-PEG-TPP
DSPE-PEG2K-DBCO
DSPE-PEG-Rhodamine B,MW:2000
DSPE-PEG-FITC,MW:2000
DSPE-PEG-配基
PLLA3000-PEG2000
DSPE-PEG-FITC,MW:2000




齐岳微信公众号
官方微信
库存查询