DMPE-mPEG MW:2000/二肉豆蔻酰基磷脂聚乙二醇
发布时间:2023-05-10  作者:zyl  分享到:
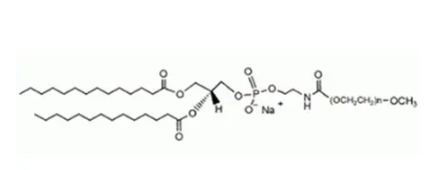
DMPE-mPEG 二肉豆蔻酰基磷脂聚乙二醇
MW: 1000,2000,3400,5000,10000
纯 度:≥95%
保存条件:零下20度保存,干燥,避光。避免频繁的解冻、冷冻。
性 状:白色或微黄色粉状制剂
用 途:仅供科研实验使用,不用于诊治
外 观:粘稠液体或者固体粉末,取决于分子量
注意事项:取用一定要干燥,避免频繁的溶解和冻干。

产品简介:DMPE共轭聚乙二醇是磷脂和聚乙二醇结合具有亲水性和疏水性。聚乙二醇磷脂脂质体形成优质材料,可用于药物输送、基因转染和疫苗传递。
聚乙二醇化磷脂能**改善血液循环时间和稳定封装药物。这些材料还可用于靶向给药通过修改与目标表面配体如抗体、多肽。
其他相关产品:
mPEG-SH-350, 甲氧基聚乙二醇巯基
mPEG-SH-550, 甲氧基聚乙二醇巯基
mPEG-SH-750, 甲氧基聚乙二醇巯基
mPEG-SH-1K, 甲氧基聚乙二醇巯基
mPEG-SH-2K, 甲氧基聚乙二醇巯基
mPEG-SH-5K, 甲氧基聚乙二醇巯基
mPEG-NHS-2K, 甲氧基聚乙二醇活性酯
mPEG-N3-2K, 甲氧基聚乙二醇叠氮




齐岳微信公众号
官方微信
库存查询