DSPE-PEG2000-TCO;磷脂-聚乙二醇-反式环辛烯 DSPE-PEG-TCO
发布时间:2023-05-10  作者:LYQ  分享到:
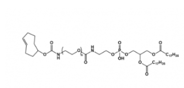
产品名称:DSPE-PEG2000-TCO;磷脂-聚乙二醇-反式环辛烯
别名:DSPE-PEG-TCO DSPE-PEG3400-TCO
纯度:≥95%
取用:现配现用
存储条件:-20°冷冻保存,惰性气体保护
结构式:

产品简介:
PEG衍生物依分子量不同而性质不同,从无色无臭黏稠液体至蜡状固体。分子量200~600者常温下是液体,分子量在600以上者就逐渐变为半固体状。
包装:瓶装
厂家:西安齐岳生物科技有限公司
生产地址:西安
温馨提示:仅适用于科研
西安齐岳生物科技有限公司是国内的高分子聚合物合成厂家,我公司可以提供各种不同的聚合物的嵌段共聚,有均聚物,嵌段共聚物,星形聚合物等,聚合物包括有PEG、PLGA、PLA、PCL、PS、PLL,PtBA,PMMA,PAA,P4VP,P2VP,PNIPAAm,聚赖氨酸、聚谷氨酸、聚天冬氨酸、PEI、以及其他基团或者多肽聚合物,种类多,可提供定制服务。
相关产品推荐:
TCO-PEG-DSPE
二苯基环辛炔-PEG4-氢化琥珀酰亚胺酯
Biotin-PEG-Aldehyde
mPEG-GA
磷脂-聚乙二醇-甘草次酸
马来酰亚胺PEG羧基
CD-PEG-活性酯




齐岳微信公众号
官方微信
库存查询