GA-mPEG;mPEG2000-GA GA-mPEG2000 GA-mPEG3400
发布时间:2023-05-10  作者:LYQ  分享到:
产品名称:GA-mPEG;mPEG2000-GA
别名:GA-mPEG2000 GA-mPEG3400
状态:由于PEG分子量的不同,呈现的产品状态多为液体或粘稠状固体
分子量: 350、550、750、1000、2000、3400、5000、10000
溶解性:
溶于大部分有机溶剂,如:DCM、DMF、DMSO、THF等等。在水中有很好的溶解性
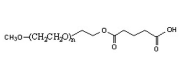
结构式:

产品简介:
PEG修饰剂随着平均分子量的不同,性质也有差异。从无色无臭粘稠液体至蜡状固体。随着分子量的增大,其吸湿能力相应降低。
包装:瓶装
厂家:西安齐岳生物科技有限公司
生产地址:西安
温馨提示:仅适用于科研
西安齐岳生物科技有限公司是国内的高分子聚合物合成厂家,我公司可以提供各种不同的聚合物的嵌段共聚,有均聚物,嵌段共聚物,星形聚合物等,聚合物包括有PEG、PLGA、PLA、PCL、PS、PLL,PtBA,PMMA,PAA,P4VP,P2VP,PNIPAAm,聚赖氨酸、聚谷氨酸、聚天冬氨酸、PEI、以及其他基团或者多肽聚合物,种类多,可提供定制服务。
相关产品推荐:
4-arm-PEG2000-DOPE
4-arm-PEG20K-DOPE
8-arm-PEG-DOPE
8-arm-PEG-DOPE MW:20000
DSPE-PEG-Pentaglycine




齐岳微信公众号
官方微信
库存查询