N3-PEG-NH2,MW:3400;叠氮-聚乙二醇-氨基;叠氮-PEG-氨基;Azide-PEG-NH2
发布时间:2023-05-10  作者:zyl  分享到:
叠氮化物-聚乙二醇胺是一种具有反应性叠氮化物(N3)的线性双功能聚乙二醇连接剂,通过与炔烃、乙炔或DBCO的点击化学反应用于聚乙二醇化。胺基可与酸、NHS酯和其他胺反应官能团共轭。
点击化学是流行的聚乙二醇化反应之一,用于将聚乙二醇添加到生物分子、颗粒、表面或交联两个分子和颗粒,或用于形成水凝胶、药物输送系统。
英文名称:Azide-PEG-Amine
N3-PEG-Amine
Azide-PEG-NH2
N3-PEG-NH2
中文名称:叠氮-聚乙二醇-氨基
分子量:5000
质量控制:95%+
存储条件:-20°C,避光,避湿
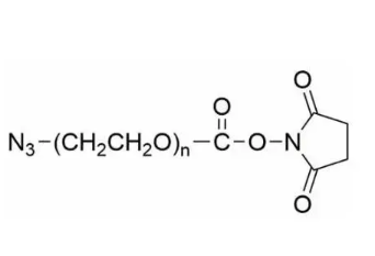
结构式:

其他相关产品:
mPEG-Azide
Azide-PEG-Azide
4-Arm PEG-Azide
8-Arm PEG-Azide
Dendro Azide-PEG-Dendro Azide
mPEG-Dendro Azide
Azide-PEG-Amine




齐岳微信公众号
官方微信
库存查询