DSPE-PEG3400-ANG;DSPE-PEG-ANG DSPE-PEG2000-ANG
发布时间:2023-05-11     作者:LYQ   分享到:
产品名称:DSPE-PEG3400-ANG;DSPE-PEG-ANG
别名:DSPE-PEG2000-ANG DSPE-PEG5000-ANG ANG-PEG2000-DSPE
外观:粘性液体或固体粉末,取决于分子量
分子量(PEG):根据客户需求定制
注意事项:在干燥的环境中取用,避免频繁的溶解和冻干
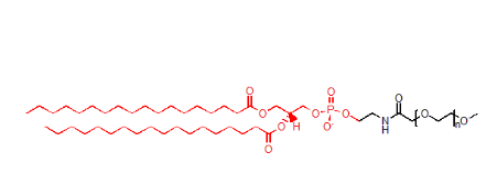
DSPE-PEG结构式:

产品介绍:
聚乙二醇是一种高分子聚合物,化学式是HO(CH2CH2O)nH,无刺激性,具有良好的水溶性,并与许多有机物组分有良好的相溶性。具有优良的润滑性、保湿性、分散性、粘接性,可作为抗静电剂及柔软剂等使用。
包装:瓶装
厂家:西安齐岳生物科技有限公司
生产地址:西安
温馨提示:仅适用于科研
西安齐岳生物科技有限公司提供各种合成磷脂,高分子PEG衍生物,小分子聚乙二醇,USPIO超顺磁性氧化铁纳米颗粒,纳米金,纳米金棒,树枝状聚合物,荧光染料及交联剂等等产品。
相关产品推荐:
OPSS-PEG-多巴胺
异双功能PEG衍生物
TK-PEG2000-DSPE
DSPE-TK-PEG-NHS
DBCO-PEG-OVA




齐岳微信公众号
官方微信
库存查询