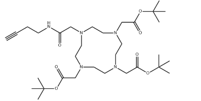
中文名称Butyne-DOTA-tris(t-butylester)
中文同义词丁炔基-DOTA-三叔丁酯;丁炔-DOTA-三(叔丁基酯);DOTA-三叔丁酯-炔;2,2',2''-(10-(2-(丁-3-炔-1-基氨基)-2-氧代已基)-1,4,7,10-四氮杂环十二烷-1,4,7-三基)三乙酸三叔丁酯
英文名称Butyne-DOTA-tris(t-butylester)
英文同义词Butyne-DOTA-tris(t-butylester);DOTA-(COOt-Bu)3-butyne;Tri-tert-butyl2,2',2''-(10-(2-(but-3-yn-1-ylamino)-2-oxoethyl)-1,4,7,10-tetraazacyclododecane-1,4,7-triyl)triacetate
CAS号2125661-54-1
分子式C32H57N5O7
分子量623.82

西安齐岳生物科技有限公司供应合成磷脂、PEG磷脂、两亲嵌段共聚物,磁性纳米颗粒,纳米金,荧光量子点及树枝状聚合物、PEG衍生物等等产品.可供常规磷脂单体、PEG磷脂,改性磷脂,磷脂、聚合物磷脂、磷脂偶连无机纳米材料及微球类材料、单分散小分子PEG磷脂偶连产品,还可根据客户需要定制合成复杂及特殊的聚合物磷脂产品。
厂家:西安齐岳生物科技有限公司
用途:科研
状态:固体/粉末/溶液
产地:西安
保存:冷藏
温馨提醒:仅供科研,不能用于人体实验
相关产品:
Gd-DOTA-炔基
聚多巴胺120nm
cas65055-19-8
阿霉素-亚甲基蓝
金刚烷-鲁米诺
CAS:444890-41-9 MitoQ
酮缩硫醇TK共聚物
CY5中间体
Hynic-peg4-biotin
5-(1,2-二硫杂环戊烷-3-基)-N-(2,5,8,11-四氧杂十三烷-13-基)戊酰胺




齐岳微信公众号
官方微信
库存查询