Biotin-PEG3400-Aldehyde;化学反应性生物素-PEG衍生物 生物素-聚乙二醇-醛基
发布时间:2023-05-11     作者:LYQ   分享到:
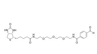
产品名称:Biotin-PEG3400-Aldehyde;化学反应性生物素-PEG衍生物
别名:生物素-聚乙二醇-醛基 Biotin-PEG-CHO CHO-PEG-Biotin
溶解性:溶于大部分有机溶剂,溶于水
取用:现配现用,将包装从冰箱中取出,置于干燥器中缓慢升至室温,打开瓶盖,取用。
取用后充入惰性气体,封口膜封口,拧紧瓶盖装入自封袋,及时放入冰箱。
结构式:

产品说明:
聚乙二醇是非离子型的水溶性聚合物,它能与许多极性较高的物质配伍,对低极性的物质配伍性差,相对分子质量低的聚乙二醇配伍性较好。
包装:瓶装
厂家:西安齐岳生物科技有限公司
生产地址:西安
温馨提示:仅适用于科研
西安齐岳生物科技有限公司提供各种合成磷脂,高分子PEG衍生物,小分子聚乙二醇,USPIO超顺磁性氧化铁纳米颗粒,纳米金,纳米金棒,树枝状聚合物,荧光染料及交联剂等等产品。
相关产品推荐:
PLGA-PEG2000-COOH
DSPE-PEG-Tetrazine
DSPE-PEG-TCO
DBCO-PEG-NHS
Biotin-PEG2000-Aldehyde
GA-mPEG2000




齐岳微信公众号
官方微信
库存查询