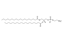
DSPE;二硬脂酰磷脂酰乙醇胺;CAS:1069-79-0的结构式
发布时间:2023-05-15     作者:zyl   分享到:
常用名 1,2二硬酯酸-3磷脂酰乙醇胺
英文名 1,2-Distearoyl-sn-glycero-3-phosphoethanolamine
CAS号 1069-79-0
分子量 748.065
密度 0.996
沸点 760.2±70.0 °C at 760 mmHg
分子式 C41H82NO8P
熔点 172-173ºC
闪点 413.5±35.7 °C

质量 747.577820
PSA 144.19000
LogP 15.83
外观性状 固体;White to Almost white powder to crystal
蒸汽压 0.0±5.5 mmHg at 25°C
折射率 1.473
储存条件
-20°C 密封储存
稳定性
常温常压下稳定,避免氧化物 光接触
相关产品:
CY3-亲和素
MAL-PEG1000-NH2
PBA-PEG600-PBA
DSP Crosslinker
Oleic acid modified Fe3O4 nano(10nm),5mg/ml
CY5.5单体
cy3-PEG-Biotin MW:2000
DSPE-PEG2K-RVG29
Cyanine7 NHS ester
DSPE-PEG2K
罗丹明标记人转铁蛋白
mPEG-TK-PLGA MW:PEG 2000,PLGA 5000
FD-1080




齐岳微信公众号
官方微信
库存查询