DSPE-PEG3400-RB;磷脂标记罗丹明B DSPE-PEG5000-RB
发布时间:2023-05-15     作者:LYQ   分享到:
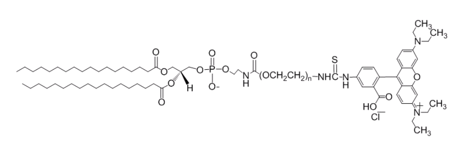
产品名称:DSPE-PEG3400-RB;磷脂标记罗丹明B
别名:DSPE-PEG5000-RB Rhodamine B-PEG-DSPE 罗丹明B-聚乙二醇-磷脂
结构式:

PEG衍生物的介绍:
PEG衍生物溶于水、乙醇和许多其它有机溶剂。 蒸气压低,对热、酸、碱稳定。 与许多化学品不起作用。 有良好的吸湿性、润滑性、粘结性。 无毒,无刺激。
纯度:≥95%
取用:现配现用
状态:由于PEG分子量的不同,呈现的产品状态多为液体或粘稠状固体
存储条件:-20°冷冻保存,惰性气体保护
分子量: 350、550、750、1000、2000、3400、5000、10000
溶解性:
溶于大部分有机溶剂,如:DCM、DMF、DMSO、THF等等。在水中有很好的溶解性
包装:瓶装
厂家:西安齐岳生物科技有限公司
生产地址:西安
温馨提示:仅适用于科研
西安齐岳生物科技有限公司供应定制合成磷脂、PEG磷脂、两亲嵌段共聚物,磁性纳米颗粒,纳米金,荧光量子点及树枝状聚合物、PEG衍生物等等产品。
相关产品推荐:
4-arm-PEG-DOPE MW:1000
8-arm-PEG3.4K-DOPE
8-arm-PEG-DOPE MW:10K
Pentaglycine-PEG3400-DSPE
PLGA-mPEG2000
DSPE-PEG MW:3400




齐岳微信公众号
官方微信
库存查询