DSPE-PEG-Glucose Glucose-PEG3400-DSPE;脂质体表面进行聚乙二醇修饰
发布时间:2023-05-15     作者:LYQ   分享到:
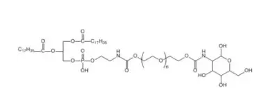
产品名称:Glucose-PEG3400-DSPE;脂质体表面进行聚乙二醇修饰
别名:Glucose-PEG5000-DSPE DSPE-PEG-Glucose 葡聚糖-聚乙二醇-磷脂
结构式:

PEG衍生物的介绍:
PEG衍生物有许多种类,例如:支链PEG衍生物,即Y-型PEG衍生物;直链单官能团PEG衍生物;同官能团双取代PEG衍生物;多臂PEG衍生物。
外观:粘性液体或固体粉末,取决于分子量
分子量(PEG):根据客户需求定制
注意事项:在干燥的环境中取用,避免频繁的溶解和冻干
包装:瓶装
厂家:西安齐岳生物科技有限公司
生产地址:西安
温馨提示:仅适用于科研
西安齐岳生物科技有限公司供应定制合成磷脂、PEG磷脂、两亲嵌段共聚物,磁性纳米颗粒,纳米金,荧光量子点及树枝状聚合物、PEG衍生物等等产品。
相关产品推荐:
DMG-PEG-MAL MW:5K
MAL-PEG-DMG MW:2000
NHS-PEG3400-SS-PLGA
FITC-PEG2000-DMPE
磷脂-聚乙二醇-三氮杂环配体
Mannose-PEG2000-DSPE
PCL-PEG2000-Amine
Biotin-PEG2K-DSPE




齐岳微信公众号
官方微信
库存查询