DSPE-PEG3400-Ald;DSPE-PEG-Ald DSPE-PEG5000-Ald
发布时间:2023-05-15  作者:LYQ  分享到:
产品名称:DSPE-PEG3400-Ald;DSPE-PEG-Ald
别名:DSPE-PEG5000-Ald Ald-PEG2000-DSPE Ald-PEG5000-DSPE
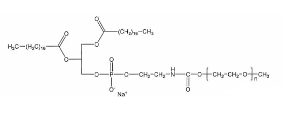
DSPE-PEG结构式:

产品介绍:
聚乙二醇是一种高分子聚合物,化学式是HO(CH2CH2O)nH,无刺激性,具有良好的水溶性,并与许多有机物组分有良好的相溶性。具有优良的润滑性、保湿性、分散性、粘接性,可作为抗静电剂及柔软剂等使用。
外观:粘性液体或固体粉末,取决于分子量
分子量(PEG):根据客户需求定制
注意事项:在干燥的环境中取用,避免频繁的溶解和冻干
包装:瓶装
厂家:西安齐岳生物科技有限公司
生产地址:西安
温馨提示:仅适用于科研
西安齐岳生物科技有限公司供应定制合成磷脂、PEG磷脂、两亲嵌段共聚物,磁性纳米颗粒,纳米金,荧光量子点及树枝状聚合物、PEG衍生物等等产品.可供常规磷脂单体、PEG磷脂,改性磷脂,磷脂、聚合物磷脂、磷脂偶连无机纳米材料及微球类材料、单分散小分子PEG磷脂偶连产品,还可根据客户需要定制合成复杂及特殊的聚合物磷脂产品。
相关产品推荐:
biotin-peg2000-dspe
TPP-PEG2000-DSPE
DSPE-TK-PEG5000-TPP
DBCO-PEG2000-DSPE
Rhodamine B-PEG-DSPE




齐岳微信公众号
官方微信
库存查询