DMG-PEG-SH DMG-PEG-Thiol 二肉豆蔻酰-sn-甘油-聚乙二醇-巯基
发布时间:2023-05-16     作者:LYQ   分享到:
产品名称:
DMG-PEG-SH 二肉豆蔻酰-sn-甘油-聚乙二醇-巯基
别名:DMG-PEG-Thiol DMG-聚乙二醇-巯基 Thiol-PEG-DMG
溶剂:氯仿,DMSO等部分有机溶剂。
产品规格:500mg/1g/5g/10g
用途:用于医学研究,药物释放,纳米技术和新材料研究。
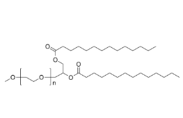
DMG-PEG 2000结构式:

产品简介:
PEG衍生物依分子量不同而性质不同,从无色无臭黏稠液体至蜡状固体。分子量200~600者常温下是液体,分子量在600以上者就逐渐变为半固体状。
包装:瓶装
厂家:西安齐岳生物科技有限公司
生产地址:西安
温馨提示:仅适用于科研
西安齐岳生物科技有限公司提供各种合成磷脂,高分子PEG衍生物,小分子聚乙二醇,USPIO超顺磁性氧化铁纳米颗粒,纳米金,纳米金棒,树枝状聚合物,荧光染料及交联剂等等产品。
相关产品推荐:
TK-PEG3400-DSPE
NHS-PEG5000-TK-DSPE
OVA-PEG3400-DBCO
PAE-PEG2000
dspe-peg2000-多肽




齐岳微信公众号
官方微信
库存查询