DSPE-PEG2000-NH2;磷脂聚乙二醇氨基;Amine-PEG-DSPE
发布时间:2023-05-16  作者:zyl  分享到:
产品化学性质
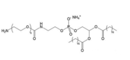
DSPE-PEG-NH2是一种在一个PEG末端具有活性伯胺基的活性磷脂PEG试剂。DSPE(1,2-二硬脂酰-sn-甘油-3-磷酸乙醇胺)是一种饱和的18C磷脂,常用于脂质体的合成。
聚乙二醇(PEG)偶联DSPE具有亲水性,可用于药物传递、基因转染和生物分子修饰。
磷脂的聚乙二醇化**改善了胶囊药物的血液循环时间和稳定性。胺功能化DSPE-PEG可通过其反应性氨基进一步修饰PEG脂质。

中文:磷脂-聚乙二醇-氨基(MW:5000)
英文:DSPE-PEG-NH2,DSPE-PEG-amine
CAS:474922-26-4
所属分类:Amine PEG DSPE PEG
1、分子量:5k,其他分子量可以定制(10k、2k、1k等)
2、质量控制:95%+
3、储藏条件:-20℃长期保存,惰性气体保护避光、干燥
4、物理性质:固体或液体取决于分子量。溶于常规溶液及大多数有机溶剂,较少溶于醇、,不溶于。
相关产品:
异硫氰酸荧光素标记牛血清白蛋白
甲氧基聚-乙二醇丙醛
异硫氰酸荧光素标记葡聚糖
磷脂聚乙二醇活性酯
罗丹明-聚乙二醇-生物素
二生物素聚乙二醇600
二生物素聚乙二醇1000
二生物素聚乙二醇2000
四臂PEG生物素
cy7-Rifampicin
靶向环肽-聚乙二醇-二硬脂酰基磷脂酰乙醇胺




齐岳微信公众号
官方微信
库存查询