CAS:474922-26-4;DSPE-PEG2K-NH2/amine;磷脂-PEG-氨基
发布时间:2023-05-16  作者:zyl  分享到:
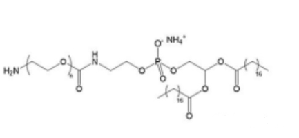
中文:磷脂-聚乙二醇-氨基(MW:5000)
英文:DSPE-PEG-NH2,DSPE-PEG-amine
CAS:474922-26-4
所属分类:Amine PEG DSPE PEG
1、分子量:5k,其他分子量可以定制(10k、2k、1k等)
2、质量控制:95%+
3、储藏条件:-20℃长期保存,惰性气体保护避光、干燥
4、物理性质:固体或液体取决于分子量。溶于常规溶液及大多数有机溶剂,较少溶于醇、,不溶于。
5、取用:现配现用,取用后充入惰性气体,及时放入冰箱。
6、用 途:仅供科研实验使用。
温馨提示:为了达到使用效果,材料应始终保持在干燥的低温条件下。避免频繁解冻和冻结。
结构式:

DSPE-PEG-NH2是一种磷脂PEG衍生物,用于脂质体制备,磷脂化聚乙二醇结合具有亲水性和疏水性,聚乙二醇磷脂脂质体形成材料。氨基和很多基团可以反应,如:羧基,活性酯,醛基,酸酐,酰氯等。
相关产品:
FITC-BSA
MPEG2000-Aldehyde
FITC-dextran
NHS-PEG-DSPE
RB-PEG-Biotin
生物素聚乙二醇生物素,MW:600
生物素聚乙二醇生物素,MW:1000
生物素聚乙二醇生物素,MW:2000
四臂聚乙二醇生物素,MW:2000




齐岳微信公众号
官方微信
库存查询