mPEG2000-DMPE mPEG-DMPE 甲氧基PEG双肉豆蔻磷脂
发布时间:2023-05-16     作者:LYQ   分享到:
产品名称:
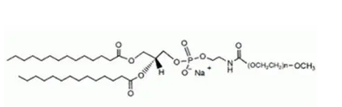
mPEG2000-DMPE 甲氧基PEG双肉豆蔻磷脂
别名:mPEG-DMPE 可用于形成隐形脂质体 DMPE-PEG
溶剂:氯仿,DMSO等部分有机溶剂。
产品规格:500mg/1g/5g/10g
用途:用于医学研究,药物释放,纳米技术和新材料研究。
结构式:

产品简介:
PEG修饰剂随着平均分子量的不同,性质也有差异。从无色无臭粘稠液体至蜡状固体。随着分子量的增大,其吸湿能力相应降低。
包装:瓶装
厂家:西安齐岳生物科技有限公司
生产地址:西安
温馨提示:仅适用于科研
西安齐岳生物科技有限公司提供各种合成磷脂,高分子PEG衍生物,小分子聚乙二醇,USPIO超顺磁性氧化铁纳米颗粒,纳米金,纳米金棒,树枝状聚合物,荧光染料及交联剂等等产品。
相关产品推荐:
磷脂修饰多肽
DSPE-PEG2000-YEQDPWGVKWWY
磷脂-聚乙二醇-多肽
DSPE-PEG3400-YEQDPWGVKWWY
dspe-peg-多肽
DSPE-PEG-YEQDPWGVKWWY
多肽-聚乙二醇-磷脂




齐岳微信公众号
官方微信
库存查询