4 arm-PEG2000-BIOTIN;四臂PEG生物素;四臂聚乙二醇生物素,MW:2000
发布时间:2023-05-16  作者:zyl  分享到:
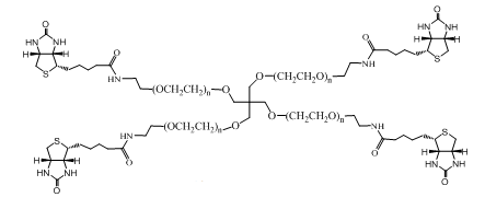
四臂PEG生物素是一种多臂PEG衍生物,四臂的每个末端都有生物素基团连接到一个季戊四醇核心。PEG生物素可通过与链霉亲和素和抗生物素结合进行聚乙二醇化,具有高亲和力和特异性。
生物素通过稳定的酰胺连接物与线性PEG结合。

英文名称:4-Arm PEG-Biotin,4-Arm peg-Biotin
中文名称:四臂-聚乙二醇-生物素
分子量:1k,2k,3.4k,5k,10k,20k(可按需定制)
质量控制:95%+
原料分散系数PDI:≤1.05
存储条件:-20°C,避光,避湿
用 途:仅供科研实验使用,不用于诊治
外观: 固体或粘性液体,取决于分子量
注意事项:取用一定要干燥,避免频繁的溶解和冻干
溶解性:溶于大部分有机溶剂,如:DCM、DMF、DMSO、THF等等。在水中有很好的溶解性
相关产品:
Biotin-PEG23-amine
Biotin-PEG8-amine
Biotin-PEG11-Mal
Biotin-PEG12-acid
Biotin-PEG11-amine
PC-Biotin-PEG4-PEG4-alkyne




齐岳微信公众号
官方微信
库存查询