【产品名称】
中文名称:生物素-聚乙二醇-硅烷
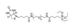
英文名称:Biotin-PEG-Silane
【产品详情】
外观:黄色液体、半固体或固体,取决于分子量。
溶剂:溶于大部分有机溶剂,如:DCM、DMF、DMSO、THF等等。在水中有很好的溶解性
活性基团:Biotin
稳定性:冷藏保存,避免反复冻融。
分子量:2000;3400;5000,其他的分子量可以定制
为确保产品的稳定性,请注意在恒温干燥以后才能打开包装取用!
分散系数:≤1.05
【存储条件】
-20℃以下冰冻、避光、干燥。长期保存惰性气体(氩气或者氮气)保护。

【产品说明】
Biotin-PEG-Silane是一类高分子PEG衍生物,PEG分子量可以定制,其中生物素可以很容易被检测,链霉亲和素结合法是广泛使用的分子靶点检测。修饰性PEG广泛应用于修饰蛋白类药物、肽类化合物、有机小分子药物、生物材料等。硅烷功能化PEG(Silane-PEG-X)可以用来修饰玻璃,硅等等。
西安齐岳生物科技有限公司供应合成磷脂、PEG磷脂、两亲嵌段共聚物,磁性纳米颗粒,纳米金,荧光量子点及树枝状聚合物、PEG衍生物等等产品.可供常规磷脂单体、PEG磷脂,改性磷脂,磷脂、聚合物磷脂、磷脂偶连无机纳米材料及微球类材料、单分散小分子PEG磷脂偶连产品,还可根据客户需要定制合成复杂及特殊的聚合物磷脂产品。
厂家:西安齐岳生物科技有限公司
用途:科研
状态:固体/粉末/溶液
产地:西安
保存:冷藏
温馨提醒:仅供科研,不能用于人体实验
相关产品:
mPEG11-Acid
Azide-PEG12-Acid;1167275-20-3
mPEG12-NHS ester;2207596-93-6
Acid-PEG10-acid;2055023-26-0
azide-PEG10-amine;912849-73-1
COOtBu-PEG12-OH;1186025-29-5
COOtBu-PEG12-OH;1186025-29-5




齐岳微信公众号
官方微信
库存查询