【产品名称】
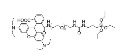
中文名称:罗丹明聚乙二醇硅烷
英文名称:RB-PEG-Silane;Rhodamine-PEG-Silane
【产品详情】
性状:基于不同的分子量,固体、半固体到液体,Dark red powder(深红色粉末)。
溶剂:Water(水)、Methanol(甲醇)、Chloroform(三氯甲烷)、DMF、DMSO等常规有机溶剂。
稳定性:冷藏保存,避免反复冻融。
分子量(PEG ):2000、3400、5000,其他分子量可以定制。
为确保产品的稳定性,请注意在恒温干燥以后才能打开包装取用!
分散系数:≤1.05
为确保产品的稳定性,请注意在恒温干燥以后才能打开包装取用!

【产品说明】
罗丹明(RB-)吸收波长570 nm,发射波长约595 nm。罗丹明可以很容易追踪粉红色和红色荧光。聚乙二醇可以增加溶解度和稳定性。减少多肽和蛋白质的免疫原性,它也能抑制带电分子在修饰表面的非特异性结合。硅烷功能化PEG(Silane-PEG-X)可以用来修饰玻璃,硅等等。
西安齐岳生物科技有限公司供应合成磷脂、PEG磷脂、两亲嵌段共聚物,磁性纳米颗粒,纳米金,荧光量子点及树枝状聚合物、PEG衍生物等等产品.可供常规磷脂单体、PEG磷脂,改性磷脂,磷脂、聚合物磷脂、磷脂偶连无机纳米材料及微球类材料、单分散小分子PEG磷脂偶连产品,还可根据客户需要定制合成复杂及特殊的聚合物磷脂产品。
厂家:西安齐岳生物科技有限公司
用途:科研
状态:固体/粉末/溶液
产地:西安
保存:冷藏
温馨提醒:仅供科研,不能用于人体实验
相关产品:
Acid-PEG11-acid;51178-68-8
azide-PEG11-amine;1800414-71-4
Acid-PEG12-DNP;DNP-PEG12-COOH
Azide-PEG12-DNP
Boc-NH-PEG12-DNP
COOtBu-PEG12-DNP;DNP-PEG12-t-butyl ester
mPEG12-Br;1620461-89-3;甲氧基-十二聚乙二醇-溴
Amineoxy-PEG3-thiol HCl salt,1200365-63-4
Amine-PEG12-COOtBu,1383814-00-3




齐岳微信公众号
官方微信
库存查询