MAL-PEG-DMPE DMPE-聚乙二醇-马来酰亚胺 DMPE-PEG2K-MAL
发布时间:2023-05-18  作者:LYQ  分享到:
产品名称:
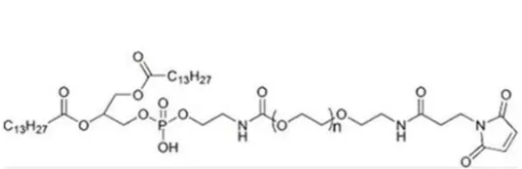
马来酰亚胺-聚乙二醇-DMPE MAL-PEG-DMPE
别名:DMPE-聚乙二醇-马来酰亚胺 DMPE-PEG2K-MAL DMPE-PEG3000-MAL
状态:固体或粘稠液体,取决于分子量大小
保存时间 1年
端基取代率:≥95%
结构式:

产品简介:
PEG修饰剂随着平均分子量的不同,性质也有差异。从无色无臭粘稠液体至蜡状固体。随着分子量的增大,其吸湿能力相应降低。
包装:瓶装
厂家:西安齐岳生物科技有限公司
生产地址:西安
温馨提示:仅适用于科研
西安齐岳生物科技有限公司提供各种合成磷脂,高分子PEG衍生物,小分子聚乙二醇,USPIO超顺磁性氧化铁纳米颗粒,纳米金,纳米金棒,树枝状聚合物,荧光染料及交联剂等等产品。
相关产品推荐:
mPEG10000-PGA
mPEG-PGA MW:10000
DSPE-PEG2000-多肽
磷脂-聚乙二醇-多肽pHLIP
DSPE-PEG-pHLIP
磷脂聚乙二醇低pH插入肽




齐岳微信公众号
官方微信
库存查询