【产品名称】
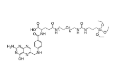
中文名称:叶酸聚乙二醇硅烷
英文名称:FA-PEG-Silane
英文别称:Folicacid-PEG-Silane
【产品详情】
性状:基于不同的分子量,呈白色/类白色固体,或粘稠液体。
溶剂:水,氯仿,DMSO,二氯甲烷等常规有机溶剂,溶于水。
稳定性:冷藏保存,避免反复冻融。
分子量(PEG ):2000、3400、5000,其他分子量可以定制。
分散系数:≤1.05
为确保产品的稳定性,请注意在恒温干燥以后才能打开包装取用!

【产品说明】
叶酸PEG硅烷(FA-PEG-Silane),叶酸(-FA)具有高亲和力的叶酸受体,可用于靶向药物传递的细胞膜受体。聚乙二醇可以增加溶解度和稳定性。减少多肽和蛋白质的免疫原性,它也能抑制带电分子在修饰表面的非特异性结合。叶酸的羧基活化后可与胺基的反应。这个反应将叶酸配体连接到蛋白质、抗体、多肽或颗粒表面。叶酸修底物已被用于靶向给药、成像和生物测定的发展。硅烷官能化的聚乙二醇通过羟基乙氧基、甲氧基硅烷,可以用来修饰玻片、硅胶和其他表面之间的反应。聚乙二醇增加药物溶解度和稳定性,减少多肽和蛋白质的免疫原性,抑制带电分子在修饰表面的非特异性结合。可修饰蛋白质、多肽和其它小分子材料。广泛应用于医药研究、药性缓释、纳米新材料研究、细胞培养。在活性化合物的配体研究,多肽合成载体,高分子接枝化合物,新型材料的聚乙二醇涂层及修饰功能化方面的应用成为研究趋势。
西安齐岳生物科技有限公司供应合成磷脂、PEG磷脂、两亲嵌段共聚物,磁性纳米颗粒,纳米金,荧光量子点及树枝状聚合物、PEG衍生物等等产品.可供常规磷脂单体、PEG磷脂,改性磷脂,磷脂、聚合物磷脂、磷脂偶连无机纳米材料及微球类材料、单分散小分子PEG磷脂偶连产品,还可根据客户需要定制合成复杂及特殊的聚合物磷脂产品。
厂家:西安齐岳生物科技有限公司
用途:科研
状态:固体/粉末/溶液
产地:西安
保存:冷藏
温馨提醒:仅供科研,不能用于人体实验
相关产品:
mPEG4-Acid;67319-28-2
Amineoxy-PEG4-azide;2100306-61-2
Azide-PEG4-Acid;1056024-94-2
mPEG5-NHS ester;874208-94-3
Azide-PEG5-Ots;236754-49-7
Azide-PEG4-Br;1951439-37-4
mPEG6-CH2COOH;16142-03-3
Azide-PEG4-NH-Boc;940951-99-5
mPEG7-OH;4437-01-8




齐岳微信公众号
官方微信
库存查询