马来酰亚胺聚乙二醇硅烷,MAL-PEG-Silane,Silane-PEG-MAL
发布时间:2023-05-18     作者:ssl   分享到:
【产品名称】
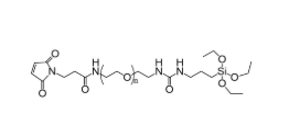
马来酰亚胺聚乙二醇硅烷,MAL-PEG-Silane
中文名称:马来酰亚胺聚乙二醇硅烷
【产品详情】
分子量:2000、3400、5000,其他分子量可定制
性状:基于不同的分子量,呈白色/类白色固体,或粘稠液体。
溶剂:水,氯仿,DMSO,二氯甲烷等常规有机溶剂。
稳定性:冷藏保存,避免反复冻融。
为确保产品的稳定性,请注意在恒温干燥以后才能打开包装取用!

【产品说明】
硅烷PEG马来酰亚胺(Silane-PEG-MAL)可以用来修饰蛋白质、多肽以及其他活性基团材料或者小分子。马来酰亚胺(-MAL)马来酰亚胺和巯基在PH6.5-7.5很容易形成稳定的硫醚键。聚乙二醇可以增加溶解度和稳定性,减少多肽和蛋白质的免疫原性,它也能抑制带电分子在修饰表面的非特异性结合。
西安齐岳生物科技有限公司供应合成磷脂、PEG磷脂、两亲嵌段共聚物,磁性纳米颗粒,纳米金,荧光量子点及树枝状聚合物、PEG衍生物等等产品.可供常规磷脂单体、PEG磷脂,改性磷脂,磷脂、聚合物磷脂、磷脂偶连无机纳米材料及微球类材料、单分散小分子PEG磷脂偶连产品,还可根据客户需要定制合成复杂及特殊的聚合物磷脂产品。
厂家:西安齐岳生物科技有限公司
用途:科研
状态:固体/粉末/溶液
产地:西安
保存:冷藏
温馨提醒:仅供科研,不能用于人体实验
相关产品:
COOtBu-PEG6-OH;361189-64-2
DNP-PEG6-COOtBu
DNP-PEG6-Acid;1817829-84-7
DNP-PEG6-NHS ester
HO-PEG4-DNP,1807520-99-5
DNP-PEG6-Azide
Amine-PEG4-DNP
DNP-PEG8-NH2
DNP-PEG12-NH-Boc




齐岳微信公众号
官方微信
库存查询