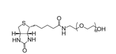
【产品名称】
英文名称:Biotin-PEG-OH
中文名称:生物素-聚乙二醇-羟基
【产品详情】
性状:基于不同的分子量,白色/类白色固体,或粘稠液体。
溶剂:水,氯仿,DMSO,二氯甲烷等常规有机溶剂。
储存条件:冷藏保存,避免反复冻融。
分散系数:≤1.05
分子量(PEG ):2000、3400、5000,其他分子量可以定制。
为确保产品的稳定性,请注意在恒温干燥以后才能打开包装取用!
【产品说明】
生物素-聚乙二醇-羟基Biotin-PEG-OH是一种具有生物素和羟基的线性异双功能聚乙二醇化试剂。它是一种有用的带有PEG间隔基的交联或生物结合试剂。生物素能与亲和素和链霉亲和素结合,具有很高的特异性和亲和力。

生物素-亲合素系统目前广泛应用于微量抗原、antibody定性、定量检测及diagnosis(ELISA)中,生物素容易与蛋白质和核酸类等生物大分子结合,形成的生物素衍生物,不仅保持了大分子物质的原有生物活性,而且比恬度高,具多价性。
此外,每个亲和素分子有四个生物素结合部位,可同时以多价形式结合生物素化的大分子衍生物和标记物。
西安齐岳生物科技有限公司供应合成磷脂、PEG磷脂、两亲嵌段共聚物,磁性纳米颗粒,纳米金,荧光量子点及树枝状聚合物、PEG衍生物等等产品.可供常规磷脂单体、PEG磷脂,改性磷脂,磷脂、聚合物磷脂、磷脂偶连无机纳米材料及微球类材料、单分散小分子PEG磷脂偶连产品,还可根据客户需要定制合成复杂及特殊的聚合物磷脂产品。
厂家:西安齐岳生物科技有限公司
用途:科研
状态:固体/粉末/溶液
产地:西安
保存:冷藏
温馨提醒:仅供科研,不能用于人体实验
相关产品:
Azide-PEG6-Br;2062663-64-1
mPEG9-CH2COOH;405518-55-0
Azide-PEG6-NH-Boc;1292268-15-5
mPEG9-OH;6048-68-6
mPEG8-Ots;79622-11-0
Acid-PEG5-acid;439114-13-3
azide-PEG5-amine;516493-93-9




齐岳微信公众号
官方微信
库存查询