【产品名称】
Biotin-PEG-MAL生物素聚乙二醇马来酰亚胺
中文名称:生物素聚乙二醇马来酰亚胺
英文名称:Biotin-PEG-Maleimide,Biotin-PEG-MAL
【产品详情】
性状:基于不同的分子量,白色/类白色固体,或粘稠液体。
溶剂:水,氯仿,DMSO,二氯甲烷等常规有机溶剂。
储存条件:冷藏保存,避免反复冻融。
分散系数:≤1.05
用途:生物素衍生物用于**的将生物素标记在抗体、蛋白质和其他含主要胺的大分子。
分子量(PEG ):2000、3400、5000,其他分子量可以定制。
为确保产品的稳定性,请注意在恒温干燥以后才能打开包装取用!
【产品说明】
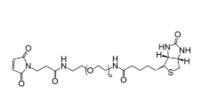
生物素PEG马来酰亚胺(Biotin-PEG-MAL)可以用来修饰蛋白质、多肽以及其他活性基团材料或者小分子。马来酰亚胺(-MAL)马来酰亚胺和巯基在PH6.5-7.5很容易形成稳定的硫醚键。聚乙二醇可以增加溶解度和稳定性,减少多肽和蛋白质的免疫原性,它也能抑制带电分子在修饰表面的非特异性结合。渝偲医药可提供生物素标记氨基、羧基、琥珀酰亚胺酯、叠氮、炔、马来酰亚胺、S-四嗪、DBCO、TCO、BCN、荧光染料等官能团或点击化学接头标记的生物素和脱硫生物素等等。

西安齐岳生物科技有限公司供应合成磷脂、PEG磷脂、两亲嵌段共聚物,磁性纳米颗粒,纳米金,荧光量子点及树枝状聚合物、PEG衍生物等等产品.可供常规磷脂单体、PEG磷脂,改性磷脂,磷脂、聚合物磷脂、磷脂偶连无机纳米材料及微球类材料、单分散小分子PEG磷脂偶连产品,还可根据客户需要定制合成复杂及特殊的聚合物磷脂产品。
厂家:西安齐岳生物科技有限公司
用途:科研
状态:固体/粉末/溶液
产地:西安
保存:冷藏
温馨提醒:仅供科研,不能用于人体实验
相关产品:
Boc-NH-PEG6-DNP
Alkyne-PEG6-acid;1951438-84-8
COOtBu-PEG6-DNP;DNP-PEG6-t-butyl ester
Amine-PEG8-amine,82209-36-7
Alkyne-PEG7-NHS ester;2093152-77-1
Amine-PEG7-NH-Boc,206265-98-7




齐岳微信公众号
官方微信
库存查询