【产品名称】
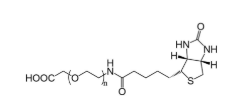
中文名称:生物素-聚乙二醇-羧基
英文名称:COOH-PEG-Biotin,Biotin-PEG-acid
【产品详情】
性状:基于不同的分子量,白色/类白色固体,或粘稠液体。
溶剂:水,氯仿,DMSO,二氯甲烷等常规有机溶剂。
储存条件:冷藏保存,避免反复冻融。
分散系数:≤1.05
分子量(PEG ):2000、3400、5000,其他分子量可以定制。
为确保产品的稳定性,请注意在恒温干燥以后才能打开包装取用!

【产品说明】
Biotin-PEG-COOH是一种杂化双功能PEG交联剂,可用于将功能性PEG连接到生物分子、颗粒和其他材料表面。羧基与胺基反应形成稳定的酰胺键。它还可以与羟基反应形成不稳定的酯键。聚乙二醇化生物素对亲和素或链霉亲和素有很高的亲和力。生物素/亲和素体系在生物分子检测和分离中有着广泛的应用。聚乙二醇化可以增加改性材料的溶解度。
西安齐岳生物科技有限公司供应合成磷脂、PEG磷脂、两亲嵌段共聚物,磁性纳米颗粒,纳米金,荧光量子点及树枝状聚合物、PEG衍生物等等产品.可供常规磷脂单体、PEG磷脂,改性磷脂,磷脂、聚合物磷脂、磷脂偶连无机纳米材料及微球类材料、单分散小分子PEG磷脂偶连产品,还可根据客户需要定制合成复杂及特殊的聚合物磷脂产品。
厂家:西安齐岳生物科技有限公司
用途:科研
状态:固体/粉末/溶液
产地:西安
保存:冷藏
温馨提醒:仅供科研,不能用于人体实验
相关产品:
OH-PEG8-Acid;937188-60-8
COOtBu-PEG8-OH;1334177-84-2
COOtBu-PEG8-OH;1334177-84-2
DNP-PEG12-COOtBu
DNP-PEG12-Acid;1334178-00-5
DNP-PEG12-NHS ester;1334178-01-6




齐岳微信公众号
官方微信
库存查询