DSPE-PEG-FITC,MW:2000,磷脂-聚乙二醇-荧光素,Fluorescein-PEG2K-DSPE
发布时间:2023-05-18     作者:zyl   分享到:
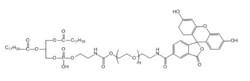
DSPE-PEG-FITC,MW:2000,磷脂-聚乙二醇-荧光素,Fluorescein-PEG2K-DSPE
产品名称:二硬脂酰基磷脂酰乙醇胺聚乙二醇荧光素
英文名称: DSPE-PEG-FITC
产品规格:100mg、500mg(根据要求可定制)
产品描述:
外观:淡橙色/黄色粉末或粘性液体取决于分子量
脂质类型:18C PE,饱和
常用溶剂:Water(水)、Methanol(甲醇)、Chloroform(三氯甲烷)、 DMF、DMSO

试剂描述:
DSPE PEG荧光素是具有亲水性和疏水性的磷脂PEG共轭物。聚乙二醇化的磷脂是好的脂质体形成材料,荧光素标记的DSPE PEG产品发出绿色荧光,可以通过常规荧光仪器轻松检测。
相关产品:
磷脂-PEG-叠氮
罗丹明B标记葡聚糖
DBCO-PEG4-NHS
二苯并环辛炔十二聚乙二醇活性酯
二苯基环辛炔-二十四聚乙二醇-活性酯
磷脂PEG多巴胺
转铁蛋白-四氧化三铁
DSPE-PEG2000
DSPE-PEG2000
磷脂-PEG-马来酰亚胺
gold nanoparticle-PEG
PLGA-PEG-Maleimide




齐岳微信公众号
官方微信
库存查询