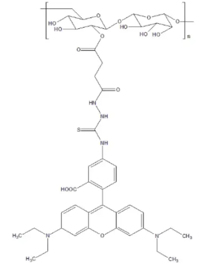
RB-dextran,4k;葡聚糖-罗丹明B;Dextran-Rhodamine B
发布时间:2023-05-18  作者:zyl  分享到:
罗丹明B(Rhodamine B),又称若丹明B、玫瑰红B、玫瑰精B、碱性玫瑰精,分子式为C28H31ClN2O3,是一种具有鲜桃红色的人工合成的染料。易溶于水、乙醇,微溶于丙酮、氯仿、盐酸和氢氧化钠溶液。呈红色至紫罗兰色粉末,水溶液为蓝红色,稀释后有强烈荧光,醇溶液有红色荧光。

英文名称:Dextran-Rhodamine B
中文名:葡聚糖-罗丹明B
别称:罗丹明B标记葡聚糖,RB-Dextran
外观状态:绿色粉末
质量:90%+
荧光波长:785/821NM.
溶解性:SolubleinDMSOorDMF.
保存:-20℃,2年
相关产品:
磷脂-聚乙二醇-甘草次酸
甲氧基-酮缩硫醇-聚丙交酯
cas181934-09-8
Dextran-Rhodamine B
超顺磁性氧化铁纳米粒子
肝素-聚乙二醇-苯硼酸
二硬脂酰基磷脂酰乙醇胺-聚乙二醇-琥珀酰亚胺酯
FITC标记鸡卵白蛋白
菁染料标记卵清蛋白
CAS:756525-94-7




齐岳微信公众号
官方微信
库存查询