CAS:57757-57-0;DSP Crosslinker;DSP双功能交联剂
发布时间:2023-05-19  作者:zyl  分享到:
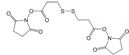
产品名称 DSP Crosslinker
中文名称 3,3'-二硫代二丙酸 二(N-羟基丁二酰亚胺酯)
英文名称 DSP Crosslinker
分子量 404.42
CAS 57757-57-0
分子式 C14H16N2O8S2
存储条件 -20°避光
性状 粉末

二硫代双(丙酸琥珀酰亚胺酯)(DSP)是一种同双功能交联剂,可渗透细胞膜。
DSP在可裂解的8原子(12.0埃)间隔臂的两端具有胺反应性N-羟基琥珀酰亚胺(NHS)酯。
DSP的间隔臂中包含一个可还原的二硫键,是各种应用的选择。
相关产品:
mPEG-PLA
Dextran-Rhodamine B
聚乳酸-羟基乙酸共聚物微球载雷帕霉素
CAS 57757-57-0
cRGD-PEG-NHS
磷脂聚乙二醇甲氨蝶呤
近红外花青素荧光染料CY7
CAS:1069-79-0
FITC-葡聚糖
NHS-PEG2000-Triptolide
红色荧光聚苯乙烯微球
FITC-人血纤维蛋白原




齐岳微信公众号
官方微信
库存查询