PLGA-PEG-carboxyl 羧基-聚乙二醇-聚乳酸-羟基乙酸共聚物 PLGA-PEG2000-carboxyl
发布时间:2023-05-19  作者:LYQ  分享到:
产品名称:
羧基-聚乙二醇-聚乳酸-羟基乙酸共聚物 carboxyl-PEG-PLGA
别名:羧酸-聚乙二醇-聚乳酸-羟基乙酸共聚物 PLGA-PEG-carboxyl PLGA-PEG2000-carboxyl
稳定性:干燥避光条件下冷冻保存,避免反复冻融。
存储条件:-20°C,避光,避湿
分子量(PEG):其他分子量或规格可定制
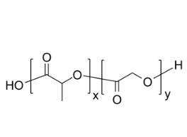
聚DL乳酸结构式:

PEG衍生物的介绍:
PEG衍生物溶于水、乙醇和许多其它有机溶剂。 蒸气压低,对热、酸、碱稳定。 与许多化学品不起作用。 有良好的吸湿性、润滑性、粘结性。 无毒,无刺激。
包装:瓶装
厂家:西安齐岳生物科技有限公司
生产地址:西安
温馨提示:仅适用于科研
西安齐岳生物科技有限公司供应定制合成磷脂、PEG磷脂、两亲嵌段共聚物,磁性纳米颗粒,纳米金,荧光量子点及树枝状聚合物、PEG衍生物等等产品.可供常规磷脂单体、PEG磷脂,改性磷脂,磷脂、聚合物磷脂、磷脂偶连无机纳米材料及微球类材料、单分散小分子PEG磷脂偶连产品,还可根据客户需要定制合成复杂及特殊的聚合物磷脂产品。
相关产品推荐:
DBCO-PEG2k-Silane
二苯并环辛炔-聚乙二醇-硅烷
DBCO-PEG-Silane
硅烷聚乙二醇环辛炔
DBCO-PEG-SIL
二苯并环辛炔-PEG-硅烷




齐岳微信公众号
官方微信
库存查询