PEG-DMG DMG-peg3400 磷脂-PEG PEG衍生物
发布时间:2023-05-22  作者:LYQ  分享到:
产品名称:
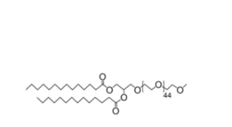
二肉豆蔻酰-sn-甘油-PEG DMG-peg3400
别名:磷脂-PEG PEG-DMG PEG3400-DMG
保存时间 1年
端基取代率:≥95%
存储条件:-20°C,避光,避湿
结构式:

产品简介:
PEG衍生物依分子量不同而性质不同,从无色无臭黏稠液体至蜡状固体。分子量200~600者常温下是液体,分子量在600以上者就逐渐变为半固体状。
包装:瓶装
厂家:西安齐岳生物科技有限公司
生产地址:西安
温馨提示:仅适用于科研
西安齐岳生物科技有限公司是国内的高分子聚合物合成厂家,我公司可以提供各种不同的聚合物的嵌段共聚,有均聚物,嵌段共聚物,星形聚合物等,聚合物包括有PEG、PLGA、PLA、PCL、PS、PLL,PtBA,PMMA,PAA,P4VP,P2VP,PNIPAAm,聚赖氨酸、聚谷氨酸、聚天冬氨酸、PEI、以及其他基团或者多肽聚合物,种类多,可提供定制服务。
相关产品:
聚已内酯-聚乙二醇-葡聚糖
PCL-PEG2000-Glucose
聚已内酯-PEG-葡萄糖
Glucose-PEG-PCL
PCL修饰葡萄糖
Glucose-PCL
PCL-PEG3400-GLUCOSE
PCL-SS-PEG




齐岳微信公众号
官方微信
库存查询