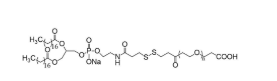
磷脂-SS-聚乙二醇-羧基,DSPE-SS-PEG-COOH,羧基聚乙二醇-二硫键-二硬脂酰基磷脂酰乙醇胺
发布时间:2023-05-23     作者:ssl   分享到:
【产品名称】
中文名称: 磷脂-SS-聚乙二醇-羧基
英文名称:DSPE-SS-PEG-COOH
【产品详情】
溶剂:Water(水)、Methanol(甲醇)、Chloroform(三氯甲烷)、 DMF、DMSO等常规有机溶剂。
稳定性:冷藏保存,避免反复冻融。
分子量(PEG ):2000、3400、5000,其他分子量可以定制。
为确保产品的稳定性,请注意在恒温干燥以后才能打开包装取用!

【产品说明】
DSPE-SS-PEG-COOH的末端-COOH可与含有-NH2,-OH基团的肽、抗体或蛋白质表面偶联。聚乙二醇化的磷脂是长循环脂质体制备的常用材料,在磷脂和聚乙二醇之间用双硫键链接,当二硫键S-S遇到还原型物质二硫苏糖醇(DTT)时快速断键,加速释放药物。羧基能够修饰带有氨基或者羟基的分子等
厂家:西安齐岳生物科技有限公司
用途:科研
状态:固体/粉末/溶液
产地:西安
保存:冷藏
温馨提醒:仅供科研,不能用于人体实验
相关产品:
Alkyne-PEG6-amine;1198080-04-4
mPEG6-Br;125562-29-0;甲氧基-六聚乙二醇-溴
mPEG7-Br;甲氧基-七聚乙二醇-溴
Amineoxy-PEG3-methane,248275-10-7
Amine-PEG10-OH;129449-09-8
Amine-PEG10-OH;129449-09-8
Amine-PEG6-COOtBu,1286281-32-0
mPEG7-azide;208987-04-6
Alkyne-PEG6-COOtBu;1355197-95-3




齐岳微信公众号
官方微信
库存查询