DSPE-SS-PEG-NH2,二硬脂酰基磷脂酰乙醇胺-双硫键-聚乙二醇-氨基
发布时间:2023-05-23     作者:SSL   分享到:
【产品名称】
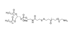
中文名称:二硬脂酰基磷脂酰乙醇胺-双硫键-聚乙二醇-氨基
英文名称:DSPE-SS-PEG-NH2
【产品详情】
溶剂:Water(水)、Methanol(甲醇)、Chloroform(三氯甲烷)、 DMF、DMSO等常规有机溶剂。
性状:基于不同的分子量,呈白色/类白色固体粉末,或粘稠液体。
稳定性:冷藏保存,避免反复冻融。
分子量(PEG ):2000、3400、5000,其他分子量可以定制。
为确保产品的稳定性,请注意在恒温干燥以后才能打开包装取用!

【产品说明】
DSPE-SS-PEG-NH2的末端-NH2可与含有-COOH基团的肤、抗体或蛋白质表面偶联。DSPE和PEG通过二硫键连接,遇到还原型物质二硫苏糖醇(DTT)时,二硫键能发生断裂,可以加速释放药物
氨基用于与活性羧酸COOH、NHS活性酯、CHO醛、羰基反应。
厂家:西安齐岳生物科技有限公司
用途:科研
状态:固体/粉末/溶液
产地:西安
保存:冷藏
温馨提醒:仅供科研,不能用于人体实验
相关产品:
NHS-PEG6-NHS ester;1526718-98-8
HO-PEG11-OH;6809-70-7
OH-PEG8-Acid;937188-60-8
OH-PEG8-Acid;937188-60-8
COOtBu-PEG8-OH;1334177-84-2
COOtBu-PEG8-OH;1334177-84-2
DNP-PEG12-COOtBu




齐岳微信公众号
官方微信
库存查询