【产品名称】
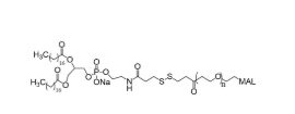
中文名称:二硬脂酰基磷脂酰乙醇胺-双硫键-聚乙二醇-马来酰亚胺
英文名称:DSPE-SS-PEG MAL
【产品详情】
溶剂:Water(水)、Methanol(甲醇)、Chloroform(三氯甲烷)、 DMF、DMSO等常规有机溶剂。
性状:基于不同的分子量,呈白色/类白色固体粉末,或粘稠液体。
稳定性:冷藏保存,避免反复冻融。
分子量(PEG ):2000、3400、5000,其他分子量可以定制。
为确保产品的稳定性,请注意在恒温干燥以后才能打开包装取用!

【产品说明】
二硫键(disulfide bond) 是连接不同肽链或同一肽链中,两个不同半胱氨酸残基的巯基的化学键。二硫键是比较稳定的共价键,在蛋白质分子中,起着稳定肽链空间结构的作用。二硫键数目越多,蛋白质分子对抗外界因素影响的稳定性就愈大。DSPE-SS-PEG-MAL,1,2-二硬脂酷-sn-甘油-3-磷酸乙醇胺-SS-聚乙二醇-马来酷亚胺是一种两亲性AB嵌段共聚物可以做成胶束。未端-MAL可与含有-SH基团的肚、抗体或蛋白质表面偶联。DSPE和PEG通过二硫键连接,遇到还原型物质二硫苏糖醇(DTT)时,二硫键能发生断裂,可以加速释放药物。马来酰亚胺能修饰带有巯基的小分子,氨基酸,蛋白质等
厂家:西安齐岳生物科技有限公司
用途:科研
状态:固体/粉末/溶液
产地:西安
保存:冷藏
温馨提醒:仅供科研,不能用于人体实验
相关产品:
HO-PEG6-DNP
DNP-PEG12-Azide
Alkyne-PEG7-acid;2093154-00-6
Amine-PEG9-amine,474082-35-4
Alkyne-PEG8-NHS ester;Propargyl-PEG8-NHS ester
Amine-PEG8-NH-Boc
Alkyne-PEG9-OH;1351556-81-4




齐岳微信公众号
官方微信
库存查询