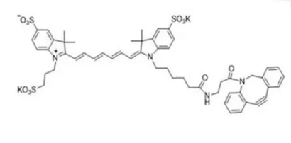
Sulfo-Cyanine7 DBCO;磺酸基-花青素Cy7二苯并环辛炔
发布时间:2023-05-23     作者:zyl   分享到:
Cyanine7 DBCO 是一种具有环炔部分的 NIR 荧光染料,用于通过无铜、应变促进的炔烃叠氮化物环加成 (spAAC) 与叠氮化物结合。
偶氮二苯并环辛炔(DBCO 或 ADIBO)片段是一种稳定但有活性的环炔烃,与叠氮化物反应非常迅速。
产品信息
性状:棕色固体
CAS号:/
分子式:C52H53KN4O8S2
分子量:965.23
**激发波长:/
**发射波长:/
注意事项
避免频繁解冻,现配现用,保持干燥
存储条件
-20℃以下冰冻、干燥。长期保存惰性气体(氩气或者氮气)保护

相关产品:
近红外菁染料Cy5-amine
马来酰亚胺PEG花菁Cy3
磷脂-聚乙二醇-马来酰亚胺
1,2-二植烷酰基-sn-甘油-3-磷酸乙醇胺
葡聚糖-氨基
近红外荧光染料Sulfo-Cyanine7 DBCO
氢化大豆磷脂
DOTA-PEG5-amine
ICG活性酯
cas146368-16-3
CAS:4004-05-1
Poly(Dopamine) nanoparticles
CAS:4004-05-1




齐岳微信公众号
官方微信
库存查询