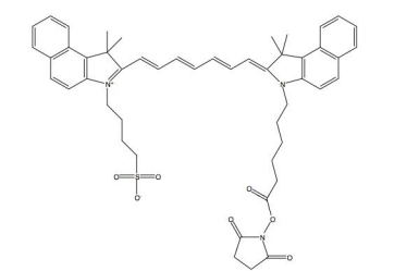
ICG NHS ester;CAS号 1622335-40-3;吲哚菁绿-琥珀酰亚胺酯
发布时间:2023-05-23  作者:zyl  分享到:
中文名称:吲哚菁绿标记活化脂/吲哚菁绿-琥珀酰亚胺酯
英文名称:ICG NHS ester/ICG-S-OSu
CAS号:1622335-40-3
外观:深绿色粉末
分子量:828.03
分子式:C49H53N3O7S
溶解度:溶于DMSO或DMF
纯度:95%+
储藏条件:-20°C 下避光保存
激发波长:785nm
发射波长:821nm
用途:仅用于科研,不能用于人体

ICG NHS ester是ICG染料的衍生物。ICG本身不带羧酸基团,所以不能用于生物标记实验,通过将吲哚菁绿中的一个磺酸根基团替换成羧酸基团,可以制备各种活化的吲哚菁绿,这是目前通用的吲哚菁绿染料标记方式
相关产品:
花菁染料标记羧基Cyanine5 胺
Cy3-PEG-Maleimide
DSPE-PEG-MAL,MW:2000
二植烷酰基磷脂酰乙醇胺
Dextran-NH2
磺酸基-花青素Cy7二苯并环辛炔
CAS:92128-87
大环配体-聚乙二醇-氨基
CAS号 1622335-40-3
Cy3-NHS酯
1,2-二油酰-SN-甘油-3-磷酰乙醇胺




齐岳微信公众号
官方微信
库存查询