DSPE-PEG-TCO 反式环辛烯-聚乙二醇-磷脂 TCO-PEG-DSPE
发布时间:2023-05-23     作者:LYQ   分享到:
产品简介:
PEG衍生物依分子量不同而性质不同,从无色无臭黏稠液体至蜡状固体。分子量200~600者常温下是液体,分子量在600以上者就逐渐变为半固体状。
产品名称:
DSPE-PEG-TCO MW;2K 磷脂-聚乙二醇-反式环辛烯
别名:DSPE-PEG-TCO 反式环辛烯-聚乙二醇-磷脂 TCO-PEG-DSPE
包装:瓶装
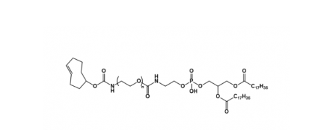
结构式:

TCO-PEG-DSPE,反式环辛烯(TCO)作为亲双烯体与S-四嗪(Tetrazine)在生理条件下的反应有无需催化剂、反应速率快的优点,被广泛应用于生物和的研究中。
分子量:1K,2K,3.4K,3.5K,4K,5K,10K,20K,40K等(接受定制)
储存条件:-25±5ºC下惰性气体封存,尽量避免反复解冻
生产地址:西安
厂家:西安齐岳生物科技有限公司
温馨提示:仅适用于科研
西安齐岳生物科技有限公司供应定制合成磷脂、PEG磷脂、两亲嵌段共聚物,磁性纳米颗粒,纳米金,荧光量子点及树枝状聚合物、PEG衍生物等等产品。
相关产品:
dspe-peg-cy5
磷脂-聚乙二醇-花青素
Cyanine5-PEG-DSPE
磷脂-PEG-花青素Cy5
DSPE-PEG5000-Cy5
CY5-PEG-DSPE
DSPE-PEG2000-丝氨酸
磷脂-聚乙二醇-丝氨酸
DSPE-PEG2000-DPPS




齐岳微信公众号
官方微信
库存查询