DSPE-PEG-NBD MW:3400;磷脂-聚乙二醇-硝基-苯恶二唑
发布时间:2023-05-23  作者:zyl  分享到:
磷脂-聚乙二醇-硝基-苯恶二唑,1,2-二硬脂酰基-sn-甘油-3-磷酸乙醇胺(DSPE)和NBD共轭的聚乙二醇,DSPE PEG NBD是一种荧光磷脂PEG共轭物,可用作脂质膜探针。可用于修饰氨基酸,蛋白质,多肽等。
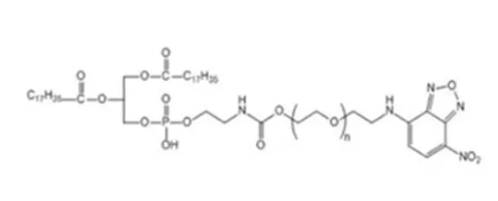
结构式:

中文名称:磷脂-聚乙二醇-硝基苯恶二唑
中文别名:二硬脂酰基磷脂酰乙醇胺聚乙二醇硝基苯恶二唑
英文名称:DSPE-PEG-NBD
英文别名:1,2-DISTEAROYL-SN-GLYCERO-3-PHOSPHORYLETHANOLAMINE-P
分子量:1k,2k,3.4k,5k,10k,20k(可按需定制)
质量控制:95%+
原料分散系数PDI:≤1.05
存储条件:-20°C,避光,避湿
用 途:仅供科研实验使用,不用于诊治
外观: 固体或粘性液体,取决于分子量
注意事项:取用一定要干燥,避免频繁的溶解和冻干
溶解性:溶于大部分有机溶剂,如:DCM、DMF、DMSO、THF等等。在水中有很好的溶解性
相关产品:
PLGA-PEG-DBCO
CAS:26853-31-6
DSPE-PEG2000-NHS
FITC-活性酯
甲氧基聚乙二醇巯基2000
Enoxaparin Sodium-Biotin
Dalteparin Sodium-Biotin
Heparin sodium-Biotin
Sialic acid-FITC




齐岳微信公众号
官方微信
库存查询