MPEG-PLGA 聚(丙交酯-乙交酯)甲氧基 PLGA-mPEG
发布时间:2023-05-23     作者:LYQ   分享到:
产品描述:
PEG修饰剂随着平均分子量的不同,性质也有差异。从无色无臭粘稠液体至蜡状固体。随着分子量的增大,其吸湿能力相应降低。
产品名称:
PEG5000-PLGA5000 甲氧基聚乙二醇 聚(丙交酯-乙交酯)
别名:MPEG-PLGA 聚(丙交酯-乙交酯)甲氧基 PLGA-mPEG
包装:瓶装
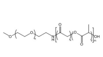
结构式:

分子量:1K,2K,3.4K,3.5K,4K,5K,10K,20K,40K等(接受定制)
储存条件:-25±5ºC下惰性气体封存,尽量避免反复解冻
生产地址:西安
厂家:西安齐岳生物科技有限公司
温馨提示:仅适用于科研
西安齐岳生物科技有限公司供应定制合成磷脂、PEG磷脂、两亲嵌段共聚物,磁性纳米颗粒,纳米金,荧光量子点及树枝状聚合物、PEG衍生物等等产品。
相关产品:
磷脂-PEG-靶向肽NGR
DSPE-PEG-GGCNGRC
DSPE-PEG2000-NGR(GGCNGRC)
mPEG5000-PLA5000
甲氧基聚乙二醇—聚乳酸
mPEG-PLA
丙交酯两嵌段共聚物
Methoxy-PEG-Poly(lactide)
聚乙二醇单甲醚 -聚丙交酯两嵌段共聚物




齐岳微信公众号
官方微信
库存查询