mPEG-DMPE 可用于形成隐形脂质体 DMPE-PEG
发布时间:2023-05-23     作者:LYQ   分享到:
产品名称:
mPEG2000-DMPE 甲氧基PEG双肉豆蔻磷脂
别名:mPEG-DMPE 可用于形成隐形脂质体 DMPE-PEG
包装:瓶装
产品介绍:
聚乙二醇是一种高分子聚合物,化学式是HO(CH2CH2O)nH,无刺激性,具有良好的水溶性,并与许多有机物组分有良好的相溶性。具有优良的润滑性、保湿性、分散性、粘接性,可作为抗静电剂及柔软剂等使用。
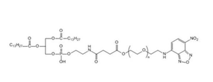
DMPE-PEG-NBD结构式:

稳定性:常温常压下稳定
PDI:1.05max
含量:95%+
生产地址:西安
厂家:西安齐岳生物科技有限公司
温馨提示:仅适用于科研
西安齐岳生物科技有限公司供应定制合成磷脂、PEG磷脂、两亲嵌段共聚物,磁性纳米颗粒,纳米金,荧光量子点及树枝状聚合物、PEG衍生物等等产品。
相关产品:
mPEG10000-PLA
甲氧基PEG-聚乳酸
mPEG10k-PLA15k
PLA-甲基聚乙二醇
mPEG10000-PLA15k
聚乙二醇-PLA
mPEG10k-PLA15000




齐岳微信公众号
官方微信
库存查询