【产品名称】
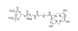
中文名称:二硬脂酰基磷脂酰乙醇胺- 聚乙二醇-四氮杂环配体
英文名称:DSPE-PEG-DOTA
【产品包装】
100mg、50mg(可根据要求定制规格)
【产品详情】
溶剂:Water(水)、Methanol(甲醇)、Chloroform(三氯甲烷)、 DMF、DMSO等常规有机溶剂。
性状:基于不同的分子量,呈白色/类白色固体粉末,或粘稠液体。
稳定性:冷藏保存,避免反复冻融。
分子量:1k,2k,3.4k,5k,10k,20k其他分子量可以定制
为确保产品的稳定性,请注意在恒温干燥以后才能打开包装取用!
DSPE(1,2-二硬脂酰基-sn-甘油3-磷酸乙醇胺)是一种常用于脂质体合成的饱和18C磷脂,聚乙二醇(PEG)共轭DSPE具有亲水性和疏水性,可用于药物递送,基因转染和生物分子修饰。

【产品说明】
DOTA是一种有机化合物,用作络合剂,尤其用于镧系离子。
大环配体配合物,大环配体配合物是指环状骨架上带有O、N、P 、S 等多个配位原子的多齿配体形成的环状配合物。配合物的范围广泛。根据其结构特征,可将配合物分为以下几种类型: 简单配合物、螯合物、多核配合物、羰基配合物、金属簇状配合物、夹心配合物、大环配体配合物。
厂家:西安齐岳生物科技有限公司
用途:科研
状态:固体/粉末/溶液
产地:西安
保存:冷藏
温馨提醒:仅供科研,不能用于人体实验
相关产品:
Alkyne-PEG10-OH;2055022-35-8
CHO-PEG8-azide;2353410-13-4 ;醛基-Ph-八聚乙二醇-叠氮
Amine-PEG9-Acid,756526-04-2
Alkyne-PEG9-amine;2093153-98-9
mPEG8-Br;1056881-04-9;甲氧基-八聚乙二醇-溴
Amineoxy-PEG8-methane HCl salt,2055024-52-5
Amine-PEG12-OH;933789-97-0




齐岳微信公众号
官方微信
库存查询