【产品名称】
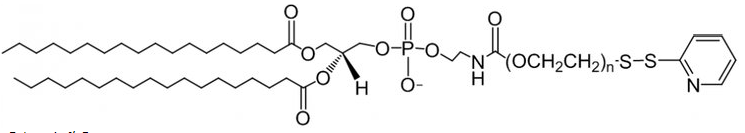
中文名称 :磷脂聚乙二醇巯基吡啶、巯基吡啶聚乙二醇磷脂
简称 :OPSS-PEG-DSPE、DSPE-PEG-OPSS
【产品详情】
溶剂: DMSO,热水等常见有机溶剂。
性状:基于不同的分子量,呈固体粉末,或粘稠液体。
稳定性:冷藏保存,避免反复冻融。
分子量(PEG ):2000、3400、5000,其他分子量可以定制。
用 途:仅供科研实验使用,不用于诊治。
为确保产品的稳定性,请注意在恒温干燥以后才能打开包装取用!

【产品应用】
DSPE-PEG-OPSS, DSPE(1,2-二硬脂酰-sn-甘油-3-磷酸乙醇胺)是一种饱和的18碳磷脂,常用于脂质体的合成。聚乙二醇(PEG)偶联DSPE具有亲水性,可用于药物传递、基因转染和生物分子修饰。磷脂的聚乙二醇化**改善了胶囊药物的血液循环时间和稳定性。聚乙二醇能增强溶解性和稳定性,降低带电分子表面非特异性结合,降低多肽的免疫原性。巯基吡啶与巯基反应,释放吡啶环,生成稳定的二硫键。
厂家:西安齐岳生物科技有限公司
用途:科研
状态:固体/粉末/溶液
产地:西安
保存:冷藏
温馨提醒:仅供科研,不能用于人体实验
相关产品:
Alkyne-PEG3-COOtBu;1374658-84-0
Azide-PEG4-Azide;182760-73-2
Alkyne-PEG4-Azide
azide-PEG4-OH;86770-67-4
Alkyne-PEG5-Br;1287660-83-6
Biotin-PEG4-Acid;721431-18-1
Azide-PEG3-NHS ester;1807530-06-8
Biotin-PEG4-NHS ester;459426-22-3
Azide-PEG3-t-Butyl ester;252881-73-5




齐岳微信公众号
官方微信
库存查询