PLGA-PEG-NH2 聚乳酸-羟基乙酸共聚物-聚乙二醇-氨基 PLGA-PEG-Amine
发布时间:2023-05-24  作者:LYQ  分享到:
PLGA-PEG-NH2 是一种合成纳米胶束的材料。PLGA-PEG-NH2 纳米胶束是 Irinotecan 靶向结直肠癌和肝细胞癌的**递送系统。

英文名:
PLGA20k-PEG5k-NH2 50:50 PLGA-PEG-NH2
中文名:PLGA聚(D,L-丙交酯-co-乙交酯)-PEG-胺
别名:聚乳酸-羟基乙酸共聚物-聚乙二醇-氨基 PLGA-PEG-Amine
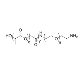
结构式:

西安齐岳生物科技有限公司提供各种合成磷脂,高分子PEG衍生物,小分子聚乙二醇,USPIO超顺磁性氧化铁纳米颗粒,纳米金,纳米金棒,树枝状聚合物,荧光染料及交联剂等等产品。
生产地址:西安
包装:瓶装
厂家:西安齐岳生物科技有限公司
温馨提示:仅适用于科研
产品推荐:
mPEG-活性酯
mPEG3400-NHS
聚乙二醇-活性酯
PEG-NHS
mPEG2000-NHS
PCL2K-PEG2K
聚已内酯-聚乙二醇
PCL-PEG




齐岳微信公众号
官方微信
库存查询