TAT-PEG-Chitosan 多肽TAT-聚乙二醇-壳聚糖 TAT-PEG2000-Chitosan
发布时间:2023-05-24  作者:LYQ  分享到:
壳聚糖物理化学性质
密度 1.75g/cm3
熔点 88ºC
分子式 (C6H13NO5)n
分子量 161.16 (monomer)
外观性状 淡米色固体
折射率 1.7
储存条件
常温密闭避光,通风干燥处
稳定性
有很强的吸湿性,仅次于甘油,高于聚乙二醇、山梨醇。具有良好的成膜性、透气性和生物相溶性。
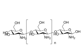
Chitosan结构式:

英文名:
TAT-PEG2K-壳聚糖 TAT-PEG2000-Chitosan
中文名:多肽-聚乙二醇-壳聚糖
别名:多肽TAT-聚乙二醇-壳聚糖 TAT-PEG-Chitosan
生产地址:西安
包装:瓶装
厂家:西安齐岳生物科技有限公司
温馨提示:仅适用于科研
西安齐岳生物科技有限公司是国内的高分子聚合物合成厂家,我公司可以提供各种不同的聚合物的嵌段共聚,有均聚物,嵌段共聚物,星形聚合物等,聚合物包括有PEG、PLGA、PLA、PCL、PS、PLL,PtBA,PMMA,PAA,P4VP,P2VP,PNIPAAm,聚赖氨酸、聚谷氨酸、聚天冬氨酸、PEI、以及其他基团或者多肽聚合物,种类多,可提供定制服务。
产品推荐:
Angiopep-2多肽-聚乙二醇-磷脂
Angiopep2多肽-聚乙二醇-巯基
Angiopep-2-聚乙二醇-磷脂
azide-PEG-Mal
Biotin-PEG-DSPE
Biotin-PEG-PLGA
Biotin-SS-PEG2000-Dox




齐岳微信公众号
官方微信
库存查询