Biotin-PEG-COOH 生物素-聚乙二醇-羧酸 Biotin-PEG2000-COOH
发布时间:2023-05-24  作者:LYQ  分享到:
产品化学性质:
Biotin-PEG-COOH是一种杂化双功能PEG交联剂,可用于将功能性PEG连接到生物分子、颗粒和其他材料表面。羧基与胺基反应形成稳定的酰胺键。
它还可以与羟基反应形成不稳定的酯键。聚乙二醇化生物素对亲和素或链霉亲和素有很高的亲和力。生物素/亲和素体系在生物分子检测和分离中有着广泛的应用。聚乙二醇化可以增加改性材料的溶解度。
英文名:
Biotin-PEG3.4K-COOH Biotin-PEG-COOH
中文名:生物素-聚乙二醇-羧基
别名:生物素-聚乙二醇-羧酸 Biotin-PEG2000-COOH
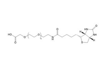
结构式:

生产地址:西安
包装:瓶装
厂家:西安齐岳生物科技有限公司
温馨提示:仅适用于科研
西安齐岳生物科技有限公司是国内的高分子聚合物合成厂家,我公司可以提供各种不同的聚合物的嵌段共聚,有均聚物,嵌段共聚物,星形聚合物等,聚合物包括有PEG、PLGA、PLA、PCL、PS、PLL,PtBA,PMMA,PAA,P4VP,P2VP,PNIPAAm,聚赖氨酸、聚谷氨酸、聚天冬氨酸、PEI、以及其他基团或者多肽聚合物,种类多,可提供定制服务。
产品推荐:
CE6-PEG3400-COOH
CE6-PEG-carboxyl
CE6-PEG-COOH
Ce6-PEG-DSPE
Ce6-PEG-PLGA
Cholesterol-PEG2000-CY3
Cholesterol-PEG2000-多肽
Cholesterol-PEG3.4k-CY5




齐岳微信公众号
官方微信
库存查询